网站首页  词典首页


请输入您要查询的字词:

 

字词 某工具厂质量成本分析
类别 中英文字词句释义及详细解析
释义

某工具厂质量成本分析


某工具厂随着全面质量管理活动的不断深化,开始注意和运用质量成本管理这一科学的方法。该厂从1984年开展质量成本管理工作进行质量成本的宣传教育,培训有关人员,进行一次性地收集质量成本数据。从1985年开始进入质量成本管理的第二阶段,制订质量成本工作制度,建立质量成本管理系统,结合企业具体情况,确定质量成本项目,建立了相应的明细科目和一些有关的数据表格,并对企业的质量成本进行了分析,寻求最佳质量水平。从1986年下半年,厂的质量成本管理工作已开始进入第三个阶段,即质量成本计划与控制阶段。

一、质量成本管理的工作制度

1.质量成本项目的确定

厂根据企业的实际情况,参考国内外的质量成本的有关资料及同行企业的经验。制定了本厂质量成本项目,可分4大类25项,具体内容如下:

(1)预防成本

①质量管理活动与协调费

②新产品设计评审费

③工序能力研究费

④质量审核费

⑤质量培训费

⑥质量情报费

⑦质量改进措施费

⑧质量奖励费

(2)鉴定成本

①进货检验费

②工序检验费

③成品检验费

④检验设备维修费

⑤新产品鉴定费

⑥检验设备折旧费

⑦检验试验办公费

(3)外部故障成本

①保修费

②索赔处理费

③退货损失费

④折价损失费

⑤服务费用

(4)内部故障成本

①废品损失

②返修损失

③停工损失

④事故处理费

⑤材料整理损失

2.质量成本数据的收集

该厂质量成本数据的收集是以各车间和科室为主进行的,各单位根据本单位质量成本费用的支出进行数据收集。事先明确规定各项数据的提供单位,规定了车间质量成本原始记录表,如废品通知单、返修通知单等的格式和计算其损失的口径见表1。

表1

质量成本数据的收集

3.质量成本的统计核算

质量成本统计核算是进行质量成本分析的基础。该厂质量成本统计核算工作是分车间(科室)核算和全厂核算两级进行。

(1)车间的质量成本统计核算

各车间(科室)的质量成本统计核算工作,由各单位核算员负责进行核算,各单位核算员按月对质量成本按项目内容分类,按产品分别进行统计汇总,并填写核算表于次月5日前报送财务科。

(2)全厂质量成本统计核算

财务科负责全厂质量成本的统计核算汇总、登记明细帐等工作,并填写汇总表于次月8日前报送质量管理办公室。

各项质量成本项目具体核算办法:

(1)内部故障成本

①各车间统计员根据废次品通知单等汇集填入《内部故障成本统计表》,上报车间核算员;

②各车间质量管理员根据各生产班、组统计停工损失、返修损失汇总填入《内部故障成本统计明细表》,报车间核算员;

③检查科统计各车间事故处理费用,分别报车间核算员。

④车间核算员汇总统计员、质量管理员和检查科填报的统计报表、故障损失成本填入《内部故障成本统计表》,于次月报财务科。

(2)外部故障成本

由销售科服务组根据售出产品外反馈通知单汇集填入《外部故障成本统计表》,月末报财务科。

(3)鉴定成本

由检查科、技术科等根据检查试验凭证,填报月份《鉴别成本报表》,次月上报财务科。

(4)预防成本

由质量管理办公室、教育中心及设计科等有关科室根据费用支付汇总月份《产品质量预防成本报表》,次月报财务科。

归纳起来,该厂质量成本的统计核算程序(见图1)。

图1 质量成本统计核算程序

4.质量成本分析与报告

厂质量成本分析与报告,同样也是分车间(科室)和全厂两级进行。

①车间(科室)质量成本分析报告

车间(科室)的质量成本分析报告由各单位核算员与质量管理员共同结合起来进行。每月对质量成本中暴露出来的问题及发展趋势作出分析,并填写质量成本分析表于次月5日前报送财务科、质量管理办公室及本单位领导各一份。

②全厂质量成本分析报告

财务科负责对全厂质量成本作出数字分析,包括计划完成情况分析(按项目、按单位)质量成本构成分析,本期与上年同期,本期与前期之间的比较分析等(见表2)。然后将包括这些分析内容的报告于次月8日前报送质量管理办公室。质量管理办公室负责写出质量成本的详细分析报告于次月10日前上报主管厂长及总会计师,为企业领导决策提供依据。

表2

质量成本分析报告

5.质量成本的计划与考核

(1)质量成本计划由财务科会同质量管理办公室负责按年度、季度、车间(科室)编写。主要依据前期质量成本分析报告中提出来的问题及发展趋势和本期工厂经营方针制定质量成本计划。

(2)质量成本的考核奖惩纳入经济责任制。由质量管理办公室负责按季对有关单位进行考核、奖惩。质量管理的奖励费用计入预防成本。

二、质量成本分析

质量成本管理是从经济观点来考察质量管理的效果。通过对质量成本的分析,可以找到质量管理活动中存在的问题,从而不断地改善产品质量,使产品质量达到适宜水平,以便达到降低成本提高经济效益的目的。因此,质量成本分析是质量成本管理的关键环节。

1.质量成本总额分析

表3为该厂自1985年到1987年季度质量成本总额及构成情况。图2为各项成本占质量成本总额的比重,随时间变化的波动图,从图2可知,鉴定成本与内部故障成本比重随时间变化,其变化可分为两段。从1985年一季度到1986年二季度,鉴定成本比重呈下降趋势,内部故障成本比重呈上升趋势。从1986年二季度到1987年一季度,鉴定成本比重呈上升趋势,内部故障成本比重呈下降趋势。预防成本的比重随时间变化,基本上呈上升趋势。而各个成本项目比重的变化影响质量成本总额的变化,如表3所示。可见不同质量成本构成,其质量成本总额是不同的。

表3

图2

然而,质量成本总额还不能完全反映质量成本的水平。因为质量成本总额在不同产量、产品总成本、销售收入等基数的影响下,其意义是不同的,因此要想真正反映出质量成本水

平,还必须计算在一定比较基数情况下的质量成本。现在这是考虑以产值作为基数,计算万元产值成本然后再比较不同时期的质量成本水平。现根据表3质量图3的数据作出万元产值质量成本随时间变化的波动图,如图3所示。从图3可知,1985年4季度万元产值质量成本出现一个峰值,然而实际上是一个虚假现象。因为在此期间,虽已开展了质量成本统计工作,但质量成本数据的渠道还不够完善,因而收集得到的数据就不十分准确。有的单位的质量成本数据没有按月统计,而是在年终时计算后,并将其计入第4季度的质量成本中,因而在图3中1985年4季度质量成本要比实际的质量成本的数值高。仅就内部故障就多计入三万元左右。如果按实际情况对图4中的质量成本波动折线进行修正(见图3中的虚线部分),则可看出从1985年1季度到1986年2季度,其万元产值质量成本基本上呈下降趋势。从1986年2季度是万元产值质量成本上升与下降的拐点。而在图中1986年2季度同样也是内部故障成本和鉴定成本比重的拐点。因此,可以说从1985年到1986年2季度,内部故障成本的比重上升和鉴定成本的比重下降是理想的,而从此以后,它们的变化是不理想的。因为它们的变化导致了万元产值质量成本的上升。

图3

由于鉴定成本和预防成本随着质量水平的提高而上升,故障成本随着产品质量水平的下降而下降,而它们之间存在着相互制约的关系,因而,就决定了构成质量成本各个项目之间有一个合理的比重,此时的质量成本最小,即有最佳质量成本。质量成本处于这一区域称为最佳区域。从表3可知,该厂的质量成本,从1985年1季度到1986年1季度处于完善区域,表现在图3上,就是万元质量成本比较高;从1986年2季度到1987年1季度是处于最佳区域,并有向完善区域过渡的趋势,表现在图3上,就是1986年2季度万元产值质量成本最低,而且随时间的增长,有逐渐升高的趋势。总之,从该厂1985年到1987年1季度质量成本的变化情况来看,在现有条件下维持在现有质量水平上是合理的。

2.鉴定成本与预防成本的分析

(1)鉴定成本分析

鉴定成本实际上是为了减少故障成本而支出的费用。在质量成本中,通常这项费用占有较大比重,所以有效地控制这部分费用,对控制质量成本总额有着重要意义。在实践中,鉴别成本对质量成本总额的影响可以归结为以下四种情况。

①支出适当,并且高效率使用,导致故障成本降低,从而使质量成本总额降低。

②低效率使用,虽然导致故障成本降低,但是,由于鉴别成本支出额大于故障成本的降低额,这是得不偿失的,其结果也导致于质量成本上升。

③无效的支出,这不仅不能减少故障成本,而且由于鉴定费用的增加,导致质量成本的上升。

④鉴定成本支出不足,虽然这项费用可以高效率使用,但质量成本仍然较高。

上述鉴定成本的使用效率可以通过计算平均增加一元鉴定成本而使故障成本降低的值来衡量。其计算公式如下:

用上面公式计算得到效率值可能出现以下三种情况。

当鉴定成本使用效率≥1时,则认为鉴定成本是高效率使用。当鉴定成本使用效率<1且>0时,认为鉴定成本是低效率使用。当鉴定成本使用效率≤0时:认为鉴定成本是无效支出。

据此来分析该厂从1985年到1987年1季度鉴定成本使用效率。现将鉴定成本从小到大排列,列出鉴定成本使用效率分析表(见表4)年1季度鉴定成本使用效率不好的原因,主要是支出鉴定成本的主要单位——检验科机构率雍肿,人浮于事,工作效率不高。现检验科有职工200多人,仅职工工资就占鉴定成本的40%左右,由于机构庞大,人员多,存在着工作负荷不饱满等现象。因此,要想提高鉴定成本的使用效率,必须精简检验科机构、人员,提高职工的工作效率。

(2)预防成本分析

预防成本实际上是为了控制鉴定成本和故障成本,使它们能够在最小限度内发生的成本。因而,它也就是为了减少上述两项费用而支出的费用。同样,预防成本的使用也可以分为高效、低效和无效三种情况。其使用效率的计算公式如下:

据此来分析该厂1985年到1987年1季度预防成本的使用效率

从表4和表5可以看出随着预防成本的增加,故障成本与鉴定成本之和也随之增加,这说明自1985年以来,预防成本使用效率较差。现就预防成本使用效率较好的1986年2季度与使用效率较差的1987年季度进行对比分析,见表5。

表4

鉴定成本使用效率分析表

表5

从表4可以看出该厂的鉴定成本使用效率很不理想。其中大部分是无效使用,有一部分是低效使用。通过调查了解该厂从1985年到1987年比较,来分析造成预防成本使用效率差的内部原因(即预防成本本身的原因)如表5所示。从表5可知,1987年1季度万元产值预防成本比1986年2季度高的主要原因是质量奖励费、质量改进措施费以及新产品设计评审费支出多。下面主要针对这三个因素进行分析。

①质量奖励费

质量奖励费用是指对保证和提高产品质量做出贡献的部门、小组和个人进行奖励的费用。因此,这项费用支出的多少应当与产品质量水平相联系的。也就是能够反映出产品质量的提高。然而,实际情况是1986年2季度的万元故障损失费为129.2元,而1987年1季度的万元产值故障损失费为166.04元。因此可以说,1987年1季度质量奖励费没有充分发挥其职能作用,是造成预防成本使用效率不好的主要原因。

②质量改进措施费

质量改进措施费的效果,可以通过一定基数下的故障成本来衡量。从表4可见,1986年1季度万元产值故障成本是129.2元,而1987年1季度万元产值故障成本是166.04元,可见,质量改进措施费用并没有取得预期的效果。这也是造成预防成本使用效率低的一个重要原因。

③新产品设计评审费

这项费用的支出,应当是与评审的新产品数量联系在一起的。1986年度该厂销售情况比较好,因而企业没有下力气来开发新产品,所以新产品设计评审费支出少。自1987年以来,该厂产品由畅销转为滞销,企业为了求生存,不得不大力开发新产品,因而设计评审费支出多。这项费用支出是必要的。

除此而外,在多支出预防成本的同时,没有减少鉴别的支出,也是预防成本使用效率不高的原因。

3.故障成本分析

(1)内部故障成本分析

在实际生产中,内部故障成本各个构成项目所占比重是下同的。表6为该厂从1985年到1987年1季度内部故障成本及其各项目的发生额。

从表6可见,废品损失占内部故障成本的绝大部分,它是影响内部故障成本高低的主要因素。下面仅就废品损失的原因进行分析。

表7是该厂1985年以来,各车间废品损失情况。

表7

从表7可知,精铸车间、金工一、金工二车间的废品损失占的比重约70%左右,它们是影响废品损失的主要车间。而这三个车间中又以精铸车间的废品损失为最多,占总损失的31.93%。该厂1986年针对精铸车间的废品损失进行了主次因素分析,找出精铸车间产生废品的主要原因是由于夹砂缺陷造成的(见图4),然后针对这一缺陷采取了有效措施,因而1987年1季度精铸车间废品损失下降了5.53%。

图4

从表7还可以看出金工一、二车间从1985年以来,其废品损失有增长的趋势。下面简要分析其原因。金工一车间是该厂的组装车间,金工二车间是该厂生产零件的车间。由于市场情况的变化,特别是1987年以来,该厂主导产品7655型凿岩机需求量锐减,为了适应市场

需要,该厂开发生产了Y26、YSP45、YL19等一些新产品。由于这些新产品,产品新、批量小,设备调整频繁。因此,工序能力不稳定,造成废品损失上升。对此需要综合考虑预防成本、鉴定成本与外部故障成本来进行分析研究,采取适当措施来控制质量成本。

(2)外部故障成本分析

外部故障成本实际上它能够衡量产品出厂的质量水平。它的高低可以反映出产品在用户中的信誉程度。因此,对外部故障成本在质量成本管理中也是具有十分重要的意义。

表8为该厂1985年到1987年1季度万元销售额外部故障损失情况。图6为由表8中的数据做出的万元销售额外部故障成本随时间变化的波动图。

表8

从表8及图5可以看出,万元销售额外部故障成本随时间变化呈上升趋势,如果仅就外部故障成本来说,由于该项费用占质量成本总额的比重很小,对企业来说是微不足道的,但是,正如前面所说,外部故障成本的高低反映出产品的信誉的高低。这个损失绝不仅仅是费用的损失,而失去了信誉、失去了市场才是最大的损失,1987年以来,该厂外部故障成本有继续上升的趋势,这就势必影响市场的占有率。因此,对外部故障损失的变化趋势予以注意,并且努力采取积极的措施降低外部故障成本。

图5

4.7655型凿岩机产品质量成本决策

7655型凿岩机产品是该厂的主导产品,其销售额占企业总销售额的50%左右。可见,确定该种产品的最佳合格率和适宜的质量成本,将对提高整个企业的经济效益有着重要的意义。在企业的生产条件稳定的情况下,其最佳合格率可用下式来近似的估算出来。

式中:q*表示产品的最佳台格率

E表示每件不合格品的损失费用

K表示每件产品预防、鉴定成本与的比例常数。其中:q为产品合格率,p为产品不合格率。

F值的确定:

F值可由前期统计资料计算求得。当生产能力大于市场需求量时,每件不合格品造成的损失应是它的可变成本部分。当生产能力小于市场需求量时,每件不合格品造成的损失实际上就是它的售价。该厂的实际情况是1985年到1986年,市场需求量大于生产能力,1987年以来,生产能力大于市场需求量。7655型凿岩机可变成本平均值为384.38元/台,1986年其售价为780元/台。

K值的确定:

确定K值可用下式:

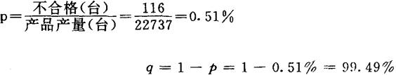
其中:C2表示每件产品应负担的预防鉴定费用。该厂1986年7655型凿岩机产品产量为22737台,不合格为116台。所以,

发生在7655型凿岩机上的预防成本和鉴定成本总额为49721元。

所以,每如应负担的预防鉴定成本为

所以,最佳合格率为

(1)当生产能力大于市场需求量时,则:

(2)当生产能力小于市场需求量时,则:

7655型凿岩机产品的适应的质量成本在生产稳定的条件下可用下式近似求出。

式中:C*为适宜的质量成本

q*为最佳合格率

p*为最佳不合格品率

(1)当生产能力大于市场需求量时,则:

(2)当生产能力小于市场需求量时,则:

根据最佳合格率q*和适宜的质量成本q*的决策值,可以编制本期的质量成本计划,并采取有效措施进行控制,使质量成本达到最佳状态。

5.质量成本管理工作的效果

该厂质量成本管理工作已初见成效。它主要表现在两个方面:一方面是通过开展质量成本核算,分析质量成本构成项目之间的变化关系,可以及时地提供质量改进的信息,往往一些质量问题是通过费用变化反映出来的,通过费用的变化,找出质量问题所在,以便及时采取措施,改进质量。另一方面是通过质量成本分析,可以看出质量成本变化趋势,以及采取相应的措施控制质量成本。

质量成本管理的直接效果,可用销售质量成本率这个指标来衡量。由于1985年上半年,该厂的质量成本管理活动刚刚开展,质量成本各项目几乎均在传统的帐户中发生,没有受到控制。因此,以1985年上半年的销售质量成本率作为比较基数。表9即为该厂从1985年到1987年1季度销售质量成本率的变化,以1985年上半年为基数与各个时期的比较,以及所取得的效果。可见,各个时期与1985年上半年比较来看是取得一定效果的。

表9

效果的计算采用下式:

效果=销售收入×(1985年上半年销售质量成本率-当期销售质量成本率)

三、进一步改进质量成本管理工作的建议

1.进一步开展质量成本管理的宣传教育

目前企业虽已开展了质量成本管理活动,但对质量成本管理重要意义的认识问题,并没有真正解决,有的人甚至认为是一种额外负担,因而影响质量成本管理工作的深入开展。质量成本管理在我们国家还仅仅是在一些少数企业里进行试点,是我们过去没有做过的事情,要想真正的把质量成本管理活动开展起来,进行质量成本核算,必须打破传统的观念和习惯做法。为此,就必须进一步进行质量成本管理的宣传教育,加强企业有关专业人员和全员的培训,不断地提高对开展质量成本管理工作重要意义的认识,调动全体职工的积极性。

2.完善质量成本管理体系,并强化其功能

质量成本管理是一个系统工程,在这一系统里,可以划分为三个子系统,即:质量成本核算子系统、质最成本控制子系统和质量成本考核子系统。该厂的质量成本管理系统还没完全的建立起来,特别是质量成本控制系统还没有完全建立起来,突出的是表现在质量成本计划下达以后,各单位的质量成本几乎是在“自然状态”下发生,而不受控制。工厂财务科不了解计划的执行情况,只是在次月初得到由各单位送来的质量成本核算表,以及质量成本分析表。而没有及时地进行信息反馈,起不到控制作用。为此,必须建立和完善质量成本管理体系,并强化其功能。

为使质量成本管理系统能够正常运转,必须进一步完善质量成本项目的内容和各种原始凭证,建立完整的质量成本报告系统,科学的编制质量成本计划。此外,还适当按产品零件进行质量成本核算。

四、改进质量成本分析工作

该厂在质量成本分析工作上,虽取得了一定的效果,但其分析工作还不够深入细致,个别环节还比较粗糙。例如,只注意质量成本冲突分析,而不注意分产品的质量成本分析,特别是在进行内部故障成本分析时,还没有按各个产品的内部故障成本进行分析,在帐目上,只有各车间内部故障成本总额,而没有分产品的内部故障成本,这就影响质量成本分析工作的准确性,影响领导进行正确的决策。在进行预防,鉴定成本分析时,也是只注意计算它们的总额及其占质量成本的比重,而没有注意对它们的支出效果进行分析。因此今后必须注意,既要分析质量成本总额,又要分析分产品的质量成本;既计算预防成本、鉴别成本的总额,并进行分析,同时,还要分析它们的使用效果如何。

五、加强成品检验,减少外部故障成本损失

尽管在质量成本管理中,外部故障成本损失对企业来说,是微不足道的,但是由于外部故障损失将反映其产品的市场占有率,而影响着产品的信誉。就目前该厂外部故障本有上升的趋势,必须引起足够重视,应当加强产品检验,减少外部故障损失。

六、把质量成本管理和质量改进结合起来进行质量成本管理

开展质量成本核算的最终目的应当是改进质量,提高经济效益,经常地进行质量成本核算和质量成本分析,就可以不断地对质量改进指明方向,提出改进的重点。这是相辅相承的,质量成本管理不能孤立地进行,只有这样才能发挥质量成本管理工作的作用。

随便看

 

离鸟网收录3541549条中英文词条,其功能与新华字典、现代汉语词典、牛津高阶英汉词典等各类中英文词典类似,基本涵盖了全部常用中英文字词句的读音、释义及用法,是语言学习和写作的有利工具。

 

Copyright © 2004-2024 vtrois.com All Rights Reserved
更新时间:2026/4/20 17:05:03