某卷烟厂19××年使用现有机器设备的生产和经营情况是:
销售收入10000万元;
总成本9000万元;
其中:变动成本5000万元;
固定成本4000万元;
利润1000万元。
当前该企业面临的问题是:产品供不应求。现有设备虽然可以继续使用,但生产效率不高、设备维修费用很大:如果通过设备更新,用新的先进的替换现有的设备,产(销)量可以提高36.5%,变动成本降低5%,固定成本却增加50%,即:
销售额10000万元×(1+36.5%)=13650万元;
变动成本率为50%-5%=45%;
固定成本为4000万元×(1+50%)=6000万元。
在这种情况下是更新旧设备、还是保留旧设备?
要回答这个问题,就要寻求合理的设备更新方案,这就需要分析设备更新前后,对企业经营情况所引起的变化,从分析对比中,找出合理的设备更新方案。下面我们就利用盈亏界点分析法进行设备更新决策。
盈亏界点的根本含义系指在企业经营活动中所出现的那么一种“收支平衡、盈亏相等”的状态,它反映了企业当时的所处经济地位和今后努力的方向。
一个典型的盈亏界点分析,是在产品售价不变,变动成本率和固定成本额不变的前提下,求得总收入同总成本的平衡。当然,也可以求得某个特定生产或销售水平上的盈亏水平,这一点对企业经营管理者是十分有用的。因为经营企业好比大海行船,如果没有海图和雷达,就有触礁和搁浅的危险;有了它,就可以避开暗礁和险滩,从而胜利地到达彼岸。经营管理者的雷达和海图,就是盈亏界点分析。
盈亏界点分析,是企业搞好经营管理,寻找盈利途径的有效工具。从企业的销售收入同成本的关系看,不外以下三种形式:
一是销售收入>成本→盈利;
二是销售收入<成本→亏损;
三是销售收入=成本→盈亏平衡。
以上三种形式中,只有在销售收入同成本相等的情况下,企业才处于既无盈利,又无地损的状态,也就是盈亏平衡状态。这一点就是盈亏界点,这一点的销售售收入就是盈亏界点销售售额。在界点(销售额)以上就是盈利,界点以下就是亏损,所以盈亏界点,既是通向盈利的门户,又是坠入亏损的入口,这就是狭义的盈亏界点的解释。
要寻找盈亏界点有两种方法:一是图表法,二是公式法。无论那种方法,都要具备销售售收入、固定成本和变动成本三个要素。在这里把总成本划分为固定成本和变动成本是一个必不可少的条件。盈亏界点的基本公式为:

式中:S-销售收入;
F-固定成本;
V-变动成本;
SBCP-盈亏界点销售额。
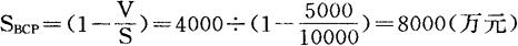
(一)设备更新前的情况(见表1)
表1


SBCPr(盈亏界点比率)=8000万元÷10000万元=0.8%
(二)设备更新后的情况(见表2)
表2


S′BCPr=10909万元÷13650万元=79%
(三)设备更新前后的对比:(见表3)
表3

分析结果:设备更新后,盈亏界点(销售额)虽然增加2,909万元,但由于变动成本率的降低,销售额的增加,盈亏界点比率反而下降0.1%,同时,利润额及利润率都有所提高,所以,这个设备更新方案,对企业是有利的,可行的。详见下图。

设备更新前后的盈亏平衡分析图