网站首页  词典首页


请输入您要查询的字词:

 

字词 果胶质的测定(质量法)
类别 中英文字词句释义及详细解析
释义

果胶质的测定(质量法)


1.方法原理

利用果胶酸钙不溶于水的特性,先用水将果酸质从样品中提取出来,再加氯化钙使之形成果胶酸钙沉淀,测定其质量并换算成果胶质量。

2.仪器与试剂

(1)仪器。烘箱、分析天平、称量瓶、古氏坩埚、抽滤瓶、电炉、250mL和500mL烧杯,250mL容量瓶、250mL移液管等。

(2)试剂。①1mol/L醋酸(CH3COOH)溶液:以58.3mL冰醋酸(化学纯)加水稀释至1000mL。②1mol/LCaCl2溶液:称取纯无水氯化钙55.1g加水稀释至500mL。③0.1mol/L NaOH溶液:称取氢氧化钠(NaOH)4g溶于1000mL水中,摇匀贮于橡胶塞的试剂瓶中。④2%硝酸银溶剂:称取硝酸银(AgNO3)2g溶于100mL水中,摇匀后贮于棕色滴瓶中。

3.操作步骤

准确称取新鲜样品50g,捣碎,置250mL烧杯中,加150mL水,小心加热煮沸1h(间歇搅拌并加水补充蒸发损失),冷却后移入250mL容量瓶中,加水至刻度、摇匀。用于滤纸抽滤(最好用古氏坩埚抽滤)。准确吸取滤液25mL于500mL烧杯中,加0.1mol/L氢氧化钠溶液100mL,静置30min,而后加50mL1mol/L CH3COOH溶液搅拌,5min后加入50mL0.5mol/L溶液,摇拌,放置1h,煮沸5min立即用烘干至恒重的滤纸过滤,以沸水洗涤沉淀,直至洗涤液加入硝酸银溶液无白色沉淀为止。然后将带有滤渣垢的滤纸放在预先烘干至恒重的称量瓶内,置105℃烘箱中烘至恒重。

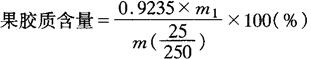
4.结果计算

式中 m1——滤渣质量,g

m——样品质量,g

——稀释倍数

0.9235——果胶酸钙换算为果胶质的系数

随便看

 

离鸟网收录3541549条中英文词条,其功能与新华字典、现代汉语词典、牛津高阶英汉词典等各类中英文词典类似,基本涵盖了全部常用中英文字词句的读音、释义及用法,是语言学习和写作的有利工具。

 

Copyright © 2004-2024 vtrois.com All Rights Reserved
更新时间:2026/4/18 18:55:20