网站首页  词典首页


请输入您要查询的字词:

 

字词 果实色泽的鉴定
类别 中英文字词句释义及详细解析
释义

果实色泽的鉴定


红色苹果的鲜艳色泽是人们所喜欢的,因此,果实的着色面积、浓度是果实品质的重要标志之一。

树种、品种、气候、地理位置对果实的着色有很大影响外,施肥对果实的着色有直接的作用。适量氮肥着色好,过量氮肥贪青晚熟,着色差;增施绿肥、磷、钾、钙和硼肥的着色好。此外,肥料形态、配合比例、施肥时期和施肥方法等,对果实着色都有很大影响。生长调节剂也明显地影响着色。

目前,果实的色泽一般用着色面积和果皮花青苷的浓度两个指标来表示。

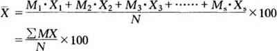
1.果实着色面积的调查 调查方法:随机取待测样本果实N个(一般N=100个)。按红色着色面积占果实表面积的百分数分级,自0%~100%。级距20%,分成五级。并求出各级中数M1、M2……Ms分别为10、30、50、70和90%。

调查着色面积不同各级中样本果实数目(X1、X2、X3……Xs)。

计算:用加权平均法计算平均着色面积百分数()

2.果皮花青苷的测定 方法原理:苹果皮上的红色是由于其中含有一种叫花青素的物质。在自然界里花青素常和糖缩合,成为糖苷的形式存在,苹果皮上的红色,主要成分是氟定3——半乳糖苷(又叫依达因)。花青苷含量多少与果实色泽浓度呈正比关系,因此,可以用95%乙醇和1.5N盐酸溶液,按85∶15体积比混合,作为提取剂,将果皮中的花青苷提取出来,用分光光度计测定其吸光度,计算每100厘米2果皮中的总吸光度。

试剂:

①1.5NHCl溶液:取浓盐酸(比重1.19)62.5毫升,加水至500毫升。

②95%乙醇:分析纯。

③提取剂:95%乙醇85毫升加1.5NHCl溶液15毫升。

仪器和器皿:752型分光光度计,2号打孔器(截面积约为0.35厘米2),不锈钢果刀,50毫升小烧杯,50、100、200毫升容量瓶、长颈滴管。

取样:在果园里,按照不同处理或要求,取树冠外围中部有代表性的无病虫的果实样本若干,带回实验室,用干净的湿毛巾擦净。

测定步骤:用果刀将果实中部的果皮横向削下一圈,宽约1厘米,放在一干净的硬纸板上,用2号木孔打孔器依次打下5个圆片,注意不要残缺,每一样本用10个果,共50片。将园片上附着的果肉刮掉,放入50毫升小烧杯中,加入提取剂约20毫升,放在暗处提取10~20小时。放置时要摇动数次,以保证充分提取。对红色深的苹果,浸出液红色太浓,不能一次浸提完全时,可在提取数小时后,将有色溶液分别倾入相应的容量瓶中,另加20毫升提取剂,重复提取。

将提取完毕的红色溶液,转移到相应的容量瓶中(视浸出液的深浅而定,由50毫升到200毫升),再用提取液洗涤果皮园片和烧杯数次,直至洗液不显红色,最后用浸提液稀释定容至刻度,摇匀。稍放置待澄清后,用长颈吸管将清液吸出,放入1厘米的比色杯中,在535毫微米波长下比色。

结果计算:果皮花青苷的浓度用100厘米2果皮在分光光度计上的总吸光度(即总光密度)表示。

式中:V——比色前浸提液稀释的总体积(毫升);

D——溶液的吸光度;

A——每个果皮园片的面积(厘米2);

50——共有50个果皮园片。

注:

①提取剂还可以用下列两种:@含有1%HCl的甲醇溶液(体积百分数);⑥甲醇∶水∶浓HC1=50∶49∶1(体积比)。

用@浸提剂时,需在530毫微米波长下比色,用⑥提取剂时,在520毫微米波长下比色。

②绿色果如国光等,一般仅稀释至20~50毫升。红色品种一般稀释至100毫升,特别红的果实,如高山地区红得发紫的果实,要稀释至200倍。用1厘米厚的比色杯比色时,每100厘米2果皮的总吸光度大致如下:

仅带红条的绿色果,每100厘米2总吸光度约为6~12;红色较好的绿色果可达40~70。红色品种(如元帅)着色差的为40~50,着色好的全红果,甚至红得发紫的果可达170~360。

③测定时,要预先用卡尺测量打孔器内径,然后计算其面积。

④如果没有分光光度计,可在样本提取后,用标准模拟色阶进行比色。模拟色阶的制备如下:

试剂:

①0.1%酸性品红溶液:0.10克酸性品红,先加少量60%乙醇将其溶解,再用60%乙醇洗入100毫升容量瓶中,稀释至刻度。

②0.1%甲基橙溶液:0.10克甲基橙溶于水,用水稀释至100毫升。

③0.01%甲基橙溶液:将0.1%甲基橙液稀释10倍。

模拟比色阶的制备:表3-8为25毫升水溶液中的指示剂用量。

表3-8 配制果皮花青苷模拟比色阶指示剂用量

测定时,将上述打好的果皮园片50片,放入25毫升具玻塞的试管中,加提取剂25毫升,在暗中提取,提取完毕即可和放在同样试管中的系列标准液进行比较。亦可将标准液及浸出液都在白磁板上进行比较或与比色卡比较。

随便看

 

离鸟网收录3541549条中英文词条,其功能与新华字典、现代汉语词典、牛津高阶英汉词典等各类中英文词典类似,基本涵盖了全部常用中英文字词句的读音、释义及用法,是语言学习和写作的有利工具。

 

Copyright © 2004-2024 vtrois.com All Rights Reserved
更新时间:2026/4/20 5:20:07