网站首页  词典首页


请输入您要查询的字词:

 

字词 果实可溶性糖、还原糖和蔗糖的测定
类别 中英文字词句释义及详细解析
释义

果实可溶性糖、还原糖和蔗糖的测定


果实中含有葡萄糖、果糖和蔗糖,这三种糖总称为可溶性(水溶性)糖。葡萄糖、果糖为六碳糖,称单糖,它们含有醛基和酮基,容易被氧化,又称为还原糖。蔗糖是十二碳糖,叫做双糖,不易被氧化,又称为非还原糖。测定前要先加酸使之水解,生成一个分子葡萄糖和一个分子果糖,再测定溶液中可溶性糖的含量。由于在未水解的溶液中还有还原糖,故应以二者之差,来计算蔗糖含量。

所有的水果果实都含有葡萄糖和果糖,大部分也含有蔗糖,少数果实,如葡萄不含蔗糖。

3种糖以果糖最甜,蔗糖次之,葡萄糖较差,甜度之比为100∶66∶45。

苹果的分析结果通常为:可溶性糖为9%~14%(一般为11%~12%),还原糖7%~10%(一般为9%~10%),蔗糖0.7%~5%(一般为2%~3%)。梨的可溶性糖为7%~14%(一般为8%~10%),还原糖6%~9%,蔗糖0.6%~5%。仁果类(苹果、梨)的果糖含量较高,而核果类(桃、李、杏)中葡萄糖含量稍高于果糖。

方法原理:铁氰化钾在碱性溶液中可氧化还原糖,用糖的浸出液滴定已知浓度一定量的铁氰化钾溶液时,铁氰化钾即被还原为亚铁氰化钾,还原糖被氧化成糖酸。溶液中有铁氰化钾存在时,溶液呈现指示剂的颜色。当铁氰化钾全部还原为亚铁氰化钾,再多滴一滴糖液,指示剂就被还原成土黄色的三酚甲烷化合物,根据所消耗的糖液体积,计算糖的含量。

试剂:

①1%铁氰化钾溶液:准确称取105℃烘干100克分析纯的K3Fe(CN)6于300毫升烧杯中,加去离子水溶解,转移于1升容量瓶中,稀释至刻度,摇匀,过滤后贮于棕色瓶中备用。

②2.50NNaOH溶液:在小烧杯中,称氢氧化钠(分析纯)105克,溶于水中,冷却后用水稀释至1升(A液)。摇匀后从A液中吸取5毫升,加水至100毫升(B液)。吸取B液10~15毫升,用0.1N标准酸标定其浓度。B液浓度乘以20即为A液浓度。要求A液恰为2.50N;如浓度过大,可以用N1V1=N2V2公式计算加水量;如果浓度过小,则需加入固体氢氧化钠少许,重新标定。

③中性醋酸铅溶液:称取300克醋酸铅[Pb(CH3COO)2·3H2O]和50克氧化铅(PbO),加水50毫升,在沸水浴上加热至白色或紫红色(约需2~3小时),然后边搅拌边加水950毫升,将此混合液倒入瓶中,盖好,放温暖处,直至溶液澄清。过滤后保存在密封的棕色瓶中备用。

④饱和硫酸钠[Na2SO4·10H2O]溶液:称取165克Na2SO4·10H2O溶解于1升水中。

⑤次甲基蓝指示剂:1.0克次甲基蓝溶于100毫升水中。

⑥甲基红指示剂:0.2克甲基红溶于100毫升60%乙醇中。

⑦8%NaOH溶液:8克氢氧化钠溶于水稀释至100毫升。

⑧稀氢氧化钠溶液:8%的NaOH溶液10毫升稀释至100毫升。

⑨浓HCl:比重1.19、分析纯。

仪器和器皿:万分之一天平、百分之一天平、恒温水浴(六孔或八孔),高速组织捣碎机、25毫升酸滴定管、10毫升碱滴定管、250毫升或100毫升容量瓶、50毫升大肚移液管、100毫升或400毫升烧杯、100毫升或250毫升三角瓶,300瓦小电炉等。

样品的采集:在果园里按照不同处理取树冠外围中部有代表性的无病虫果实若干(不得少于10个),带回试验室,把取来的样品果实洗净擦干,或用湿毛巾擦净果皮。

分析苹果、梨、葡萄时,需带果皮。剥皮容易的桃样品则应去皮,柑橘要去掉外果皮和里面的白色网纹。西瓜、甜瓜则只取可食部分。葡萄、苹果、梨、桃、李、杏、柑橘和西瓜的种子均弃去,苹果和梨还应去掉鳞片。

取样时,对苹果、梨、桃、西瓜、甜瓜等新鲜水果,取每个果实中部纵横各一片,用不锈钢刀切碎。柑橘对每个果实对角线的两瓣;浆果(葡萄)取每个果穗的上下左右各方面果实数粒。有时葡萄用汁进行分析。

测定步骤:

糖液的提取:用400毫升烧杯,在受皿天平上称取切碎的样品150克,加150毫升无离子水,在高速组织捣碎机上搅拌3分钟。用小烧杯在工业天平上称取浆状物50克(相当于样品25克),用水洗至250毫升容量瓶中,使瓶内液体约为150毫升,用8%NaOH溶液中和溶液中的有机酸,每加1~2滴,摇匀溶液,并用红石蕊试纸少许投入瓶中,当红石蕊试纸在溶液中明显变蓝为止。

将瓶放入80℃的水浴中30分钟,每隔5分钟摇动一次,同时注意调节水浴温度。从水浴中取出瓶,趁热逐滴加入中性醋酸铅,以沉淀其中的蛋白质和色素等,每加数滴,充分摇动瓶子,然后静止片刻,观察上层溶液是否清亮,如已清亮就不再加醋酸铅,以防过量,反而使溶液变得混浊无法滤出清液(据经验,25克元帅系苹果约需中性醋酸铅1.6~1.8毫升,酸多的苹果,如国光,用量稍多些;25克梨则需1.5~3.5毫升),放置数分钟,再加入醋酸铅用量3~4倍的饱和硫酸钠溶液,使多余的铅生成硫酸铅沉淀,将容量瓶放冷,加水至250毫升,摇匀,用滤纸过滤到250毫升三角瓶中,这一糖液,即可用来进行还原糖的测定。

还原糖的测定:进行正式测定前,应先预测一次。在100毫升三角瓶中,用三个滴定管分别加入1%铁氰化钾溶液20毫升,2.50N氢氧化钠溶液5毫升及糖液3毫升,将三角瓶放在有石棉铁丝网的300瓦小电炉上电热煮沸1分钟,加一滴次甲基蓝指示剂,随即边加热边用上述糖液继续滴定,滴定速度要慢,使溶液保持微沸,在接近终点时,每加一滴糖液,都要充分摇动。溶液颜色的变化:绿-红-蓝紫-紫-土黄,从紫色突变到土黄即达到终点。消耗的总糖量(包括先加入的3毫升)在4~6毫升之间时,结果最精确。如果消耗糖液超过8毫升,表示糖的浓度过淡,可取10毫升铁氰化钾溶液及2.5N氢氧化钠溶液2.5毫升与糖液重新滴定。如果煮沸1分钟,加次甲基蓝指示剂后溶液立即变黄,说明糖液太浓,需要稀释一倍后再滴定。

正式滴定:从上述预测,即可大致得到与20毫升铁氰化钾溶液作用时糖的消耗量,正式滴定时,在20毫升铁氰化钾和5毫升氢氧化钠溶液中,先加入比上述糖用量少0.5毫升的糖液(例如,预测时消耗为5.00毫升,则先加入4.5毫升)煮沸1分钟,加指示剂1滴,边加热边逐滴滴入糖液,每加1滴都要充分摇动,直到终点为止。

可溶性糖的测定:在还原糖的滴定中,溶液里虽然有蔗糖,但是它不能被铁氰化钾所氧化,所以只能滴定出还原糖的含量。如欲测定蔗糖,则另取糖液加酸水解,转化成等量的葡萄糖和果糖后,再照上法滴定,测定步骤如下:

吸取糖的滤液50毫升,放入100毫升容量瓶中,另取一100毫升容量瓶,加50毫升水,插入温度计,以观察温度计变化,将它们一并放入预先加热到70℃的水浴中,当瓶内温度升至60℃时,取出量瓶,用滴定管准确加3毫升浓盐酸(比重1.19),将容量瓶再放入水浴(注意经常摇动),待瓶内温度升至70℃时,在68~/0℃下保持准确8分钟,取出量瓶,迅速冷却,加甲基红指示剂2滴,用8%NaOH液中和快到中性时,可改用稀NaOH液直到溶液由红变为橙色。如果发现溶液变为黄色,并变混浊,说明加碱过多,要用稀HCl调回至橙红色。水解好的糖液加水至100毫升,照还原糖的测定与20毫升铁氰化钾液进行标定。

铁氰化钾液浓度的确定:准确称取在110℃烘过2小时的分析纯葡萄糖0.2克(准确至四位小数),溶于水,稀释至100毫升。用此溶液与100毫升铁氰化钾液滴定,方法同上,记下糖液用量。

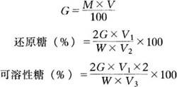
结果计算:10毫升铁氰化钾溶液相当于葡萄糖的克数(G)为:

蔗糖(%)=[可溶糖(%)-还原糖(%)]×95%

式中:M——葡萄糖的重量(克);

V——滴定10毫升铁氰化钾溶液所用的标准葡萄糖溶液的体积(毫升);

V1——糖浸出液定容体积(毫升);

V2——还原糖测定中20毫升铁氰化钾溶液消耗的待测液体积;

V3——可溶性糖测定中20毫升铁氰化钾溶液所消耗的水解后待测糖溶液的体积(毫升);

W——样品的鲜重(克);

2——在可溶性糖的测定中吸出50毫升滤液,水解后定容至100毫升,即将原来糖液稀释了一倍。

随便看

 

离鸟网收录3541549条中英文词条,其功能与新华字典、现代汉语词典、牛津高阶英汉词典等各类中英文词典类似,基本涵盖了全部常用中英文字词句的读音、释义及用法,是语言学习和写作的有利工具。

 

Copyright © 2004-2024 vtrois.com All Rights Reserved
更新时间:2026/4/20 1:01:08