切比雪夫不等式 设X有E(X)=μ,D(X)=σ2,则对任意实数ε>0,恒有

或

大数定律
1.切比雪夫定理的特殊情况
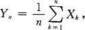
设随机变量X1,X2,…,Xn,…,相互独立,且有相同的期望和方差:E(Xk)=μ,D(Xk)=σ2,(k=1,2,…),记

则对于任意正数ε,有

并称Yn依概率收敛于它的期望值μ.
2.伯努利定理
设μn是n次独立重复试验中事件A发生的次数,p是事件A在每次试验中发生的概率,则对任意正数ε,有

或

3.辛钦定理
设随机变量X1,X2,…,Xn,…相互独立,服从同一分布,且具有数学期望E(Xk)=μ(k=1,2,…),则对任意正数ε,有

中心极限定理
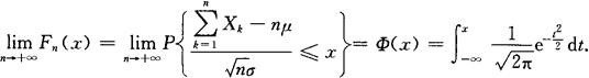
1.列维-林德伯格定理(独立同分布的中心极限定理)
设随机变量X1,X2,…,Xn,…相互独立,服从同一分布,且具有数学期望E(Xk)=μ和方差D(Xk)=σ2≠0(k=1,2,…),则对任何x有

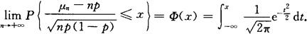
2.棣莫佛-拉普拉斯定理(二项分布以正态分布为极限分布的中心极限定理)
设μn~B(n,p),则对于任何x,有
