网站首页  词典首页


请输入您要查询的字词:

 

字词 板齿鼠测报调查方法
类别 中英文字词句释义及详细解析
释义

板齿鼠测报调查方法


别名大柜鼠、乌毛柜鼠、小拟袋鼠、印度板齿鼠。

1 生物学特性和危害

1.1 分布

主要分布在两广、云南、福建和台湾。

1.2 形态特征

体型较大,体长大于220mm,一般为280mm左右,成体体重450~580g。头小,嘴尖,吻短而钝。耳短而圆,前折不达眼部。尾粗,长度短于或等于体长。后足长超过45mm,后足掌有6个足垫。背毛长而硬,达40mm长,臀部毛较背部更长。乳头6对:胸部3对,鼠鼷部3对。爪短利。背腹毛皆为黑褐色,头部与背中央至臀部毛色深,腹毛色较浅,尾上鳞环明显,尾毛均为黑褐色,足背为深褐色,耳外壳有浓密的黑褐色细毛。板齿鼠的臼齿构造很特殊,咀嚼面横脊上的齿突完全愈合为一体,这是重要的鉴别特征。

1.3 生活习性

板齿鼠多活动于接近低洼潮湿之处,喜在土质疏松而又较潮湿的池沼边缘或杂草丛生的堤围、田基中营洞穴生活,柴草堆内也时有所见。但在云南,板齿鼠亦将巢穴筑于较干燥的小土坡上。洞道长2.5~7.5m,洞口粗大,直径约130mm,每个洞系有洞口2~4个,多达7~8个。较大的一个洞口多向着水塘,另一些洞口则多通向农田。夜间活动,白天多躲入洞中或在甘蔗堆下活动。

性情凶恶,感觉灵敏,一遇敌情,立即逃避,来不及逃避时,会主动进攻;出洞前常在洞口停留观察一段,若发现敌情,迅速返洞,并将洞口堵住。游泳能力强,受惊时常潜入水中,可潜入水中10min。

1.4 食性

广食性鼠类,食性杂,受食物来源和环境的制约。常以甘蔗、水稻、甘薯、香蕉为食。对水稻的危害尤为惨重,可造成个别地区大片稻田颗粒无收。主要取食植物的根茎,有时也吃小鱼、小蟹等动物性食物。

1.5 繁殖与寿命

一年四季均可繁殖。以春天到初秋繁殖最盛。每胎可产仔2~10只,通常4~6只。生态寿命约为1.5年。

1.6 危害

板齿鼠对水稻、甘蔗和甘薯危害十分严重。咬断青苗、盗食果穗和地下茎。有时在洞内储藏大量食物如甘薯、甘蔗等。由于体大,食量大,因而相对小型鼠种对农作物的危害重。

2 主要影响因子

温度、降水、食物、天敌和防治是影响黑线姬鼠种群数量变化的主要因素。

3 调查项目与方法

3.1 密度调查

用夹夜法调查。计算总捕获率和黑线姬鼠捕获率。结果记载于表9-1。

3.2 繁殖情况调查

对捕获的黑线姬鼠,检查鼠龄、雌鼠繁殖百分率、胎仔数,雄鼠生殖情况。结果记载于表9-2。

4 种群数量预测预报

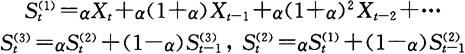
何淼(1996)利用时间序列模型作为板齿鼠种群的预测方法。即3次指数平滑法,结合季节指数法,建立的板齿鼠的中、长期预测(6个月至1年,甚至更长时间)的时间序列模型。结构如下:

式中:

Xt——第t时刻的实际调查值;

——第t时刻的3次指数平滑值;

——第t时刻的2次指数平滑值;

——第t时刻的1次指数平滑值;

1——第t-1时刻的3次指数平滑值;

α——平滑系数。

随便看

 

离鸟网收录3541549条中英文词条,其功能与新华字典、现代汉语词典、牛津高阶英汉词典等各类中英文词典类似,基本涵盖了全部常用中英文字词句的读音、释义及用法,是语言学习和写作的有利工具。

 

Copyright © 2004-2024 vtrois.com All Rights Reserved
更新时间:2026/4/19 15:49:30