网站首页  词典首页


请输入您要查询的字词:

 

字词 机械冷藏库的设计与建造
类别 中英文字词句释义及详细解析
释义

机械冷藏库的设计与建造


果蔬机械冷藏库库内温度一般在-1.5~-1℃,内外温度差较大;因此,与一般建筑相比,库房还有许多特殊要求。因建造机械冷藏库的一次性投资较大,故在建设前,应该全面考虑、认真设计,以避免造成无法弥补的损失。

1.库址的选择

库址的选择应依据当地资源状况、经济状况、能源及水源状况、交通运输状况、区域环境状况等综合考虑。

首先要求有便利的交通运输条件,以利于果蔬的运输。较大的果蔬机械冷库常建在铁路、码头附近,中小型冷库应建在公路附近;另外也要考虑到果蔬产区与冷库的距离,减少果蔬采后在常温下的拖延与运输时间,因此冷库尽量建在果蔬产区。

大中型冷库选址时,要对库址的地形、地质、洪水位、地下水位等情况进行认真调查和必要的勘探分析。库址要有良好的地质条件,多层冷库的地耐力应大于15t/m2。库址处的地下水位要低,库址的标高要高出附近河流最高洪水位0.5m,以便生产废水、地面雨水等自流排放。

水源和电源也是选择库址的重要条件之一。库址附近必须有较为充裕的水源和一个可靠、稳定的电源。

冷库周围应有良好的卫生环境,远离排放有害气体(包括乙烯、丙烯等促进果蔬成熟的气体)、烟雾、粉尘等的厂矿企业。

库房以建设在没有强光照射和热风频繁的阴凉地段为佳。

2.冷库的容量和尺寸

冷藏库的大小要根据贮藏产品的数量和产品在库内的安排方式而定。设计时首先要确定贮藏的容量。容量是根据需要贮藏的产品在库内堆码所必须占据的体积,加上行间过道,堆码与墙壁之间的空间,堆与天花板之间的空间,以及包装之间的空隙都要计算在内。

确定容量后首先要考虑高度,如果过高,没有机械操作,产品堆码和取出都不方便,管理也有困难。冷藏间的堆货高度,人工堆装一般为2.6~3.6m,机械堆装一般为5.0~6.5m,同时要考虑到货堆与房顶和地面的距离,单层冷库贮藏间净高一般为5.4~7.0m,多层冷库的冷藏间层高一般为4.8m左右。

在初步设计阶段,冷库建筑面积可根据计划书规定的冷藏量,按公式进行估算:

式中 A——冷库建筑面积(不包括川堂、楼电梯间等辅助建筑面积),m2

m——计划任务书规定的冷藏量,t

α——平面系数[指有效堆货面积与建筑面积之比,多库房的小型冷库(稻壳隔热)取0.68~0.72,大库房的冷库(软泡沫塑料隔热)取0.76~0.78]

γ——拟贮果蔬的单位平均体积质量,kg/m3;(箱装新鲜水果容重可按300kg/m3、框装新鲜水果可按200kg/m3计算,篓中蔬菜可按250kg/m3、托板或活动货架存菜可按250kg/m3、固定货架存菜可按220kg/m3加以概算)

h——所贮果蔬的有效堆货高度,m

n——冷库层数

在估算面积基础上考虑库房的长度和宽度。一般讲方形在建筑上最经济,但过宽,在建筑设计和材料上会增加麻烦,而且库房过宽,库内必须有支柱以承受屋顶的质量,这不仅增加建筑材料,也影响库内的安排和操作。机械冷藏库通常采用的宽度很少超过12m。

设计冷藏库时,也要考虑到其他必要的附属设施如工作间、包装整理间、工具存放间等的位置。

3.冷库的隔热防潮

由于机械冷藏库的库温都低于外界气温,不可避免会发生外界通过围护结构向库内的传热,成为冷库耗冷量的一个组成部分。减少这部分耗冷量,不仅可以节省制冷装置的设备费用和经常的运转费用,更重要的是得以确保果蔬保鲜的“低温、少波动”的工艺要求,还可降低果蔬的干耗。另外,由于库内温度低,空气中的含湿量低,外界空气中的水蒸气会不断渗入围护结构的隔热层中;当低于空气露点温度的某温区时,水蒸气即凝结为水珠或冰,造成隔热材料受潮、隔热性能下降;当受潮严重时,会造成隔热材料变质失效,缩短冷库的使用寿命。

因此,在设计机械冷藏库时,应进行传热计算并核准隔热层的凝水区,合理设计与建造隔热层和隔汽层是机械冷藏库建造的关键环节。

(1)机械冷藏库保温层的设计与建造。设计机械冷藏库的隔热层时,首先应合理确定冷库的传热热阻。据理论分析和实践检验,当库温要求为0℃时,在夏季室外计算温度为30~33℃地区,要求冷库外墙传热热阻为2.58;在夏季室外计算温度为33~36℃地区,要求冷库外墙传热热阻为3;屋面要求的最小传热热阻可按上述要求乘以1.15。当围护结构构造方案和选用的隔热材料种类确定后,即可计算出隔热层所需厚度。

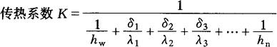
冷库围护的传热系数计算公式为:

式中 hw、hn——围护外表面和内表面对空气的表面传热系数,W/(m2·K)

δ1、δ2、δ3——各层材料的厚度,m

λ1、λ2、λ3——各层材料的热导率,W/(m·K)

围护结构总热阻

常用保温材料的热导率和热阻列于表3-3。

表3-3 各种材料的隔热性能

保温材料的选择原则是,在达到保温性能和设计要求的情况下,力争因地制宜,就地取材。

隔热层的施工方法一般有3种:①施工时采用夹层墙或直接敷设方案。建造两层墙,两层墙中间留有装填隔热材料的空间。该法可用于松散形保温材料,如稻壳、珍珠岩、蛭石等,也可用于块状的隔热材料如聚苯乙烯泡沫板等(图3-10)。我国目前建造的冷藏库大多采用该法。该法的最大优点是造价低,取材方便;但墙体所占面积大,库房有效利用面积相对较小。②采用预制隔热嵌板。预制隔热嵌板的两面是镀锌铁(钢)板或铝合金板,中间夹着一层隔热材料,隔热材料大多采用8cm硬质聚氨酯或10cm厚的聚苯乙烯塑料板。这些库板都具有相应的隔气层、隔热层和围护层的功效,并且具有一定的强度,可以满足贮量小于50t的机械冷藏库的强度要求;但是当库体体积大时,则需要安装起承重和加强作用的钢架结构。通过一定的连接构件和密封材料(一般采用发泡聚氨酯),利用这种预制隔热板即可建成组装式冷库。这种方法建造的冷库除具有良好的隔热性能外,还具有良好的隔汽防潮性能。此法施工简单,速度快,维修容易,但造价较高。③在现场喷涂聚氨酯。使用移动式喷涂机,将异氰酸酯和聚醚两种材料同时喷涂于墙面、屋顶和地面上,不需其他黏接材料即起化学反应而发泡,形成所需要厚度的、完整的无缝隔热层。这种隔热层能起到隔热和防潮的双重作用,同时又具有良好的保温性能,施工速度较快;但此法造价高,而且在建库过程中产生有毒气体,对人健康有害,重者危及生命。

图3-10 冷藏库墙壁与地面保温防潮结构示意图

(2)机械冷藏库隔汽防潮的设计与建造。机械冷藏库的隔汽防潮设计标准为:围护结构高温侧的蒸汽渗透阻大于库内外空气蒸汽渗透阻。

为了便于计算,通常把通过冷库围护结构的水蒸气渗透过程按稳定条件考虑,在稳定条件下通过围护结构的蒸汽渗透量P,与冷库内外水蒸气分压力差成正比,与渗透过程中受到的阻力成反比,即:

式中 P——水蒸气渗透量,kg/(m2·h)

H0——围护结构的总蒸汽渗透阻(m2·h·Pa)/kg

pw——库外空气中的水蒸气分压力,Pa

pn——库内空气中的水蒸气分压力,Pa

由m层材料组成的围护结构,其总蒸汽渗透阻可按下式确定:

式中 H1、H2、H3……Hm——围护结构各层的蒸汽渗透阻,(m2·h·Pa)/kg

δ1、δ2、δ3……δm——各层材料的厚度,m

μ1、μ2、μ3……μm——各层材料的蒸汽渗透系数,kg/(m·h·Pa)

由于围护结构内外表面附近空气边界层的蒸汽渗透阻与结构材料层的相比是很小的[Hw=0.1(m2·h·Pa)/kg和Hn=0.2(m2·h·Pa)/kg],所以在计算总蒸汽渗透阻H0时可忽略不计,因而围护结构内外表面的蒸汽分压力也近似地可取为en和ew

机械冷藏库常用隔汽防潮材料见表3-4。

表3-4 机械冷藏库常用隔汽防潮材料的特性

注:1mmHg=133.322Pa

其中,石油沥青的防水性能好,又有一定的弹性、抗低温、防潮性能稳定等特点,若与油毡结合使用,能达到良好的防潮效果;但需要加热,施工麻烦,并需要考虑其他材料的耐热性能。塑料薄膜的透气性好和吸水性低、机械强度大、柔软性好、施工简便、费用低廉;但耐老化、耐低温性能差。冷库的防潮施工时,沥青用加热法直接加热敷设、塑料薄膜直接用黏合剂黏合即可。总的来说,冷库设计隔汽防潮层应注意:砌砖外墙外侧应做水泥砂浆抹面;外墙体防潮层应与地面、顶盖防潮层良好地搭接;所有防潮层敷设时均应顾及冷库其他隔热防潮层的连续性。另外,预制隔热嵌板建造的冷库可以不必另设防潮层,即可起到防潮的作用。

4.机械冷藏库耗冷量的确定

耗冷量是选择和匹配机械冷藏库制冷设备的一个重要参数。耗冷量Q由四部分组成:

(1)由于库房内外温差包括太阳辐射热引起的过余温差而通过围护结构渗入的热量,简称渗入热Q1

(2)果蔬在冷藏中呼吸放出的热量,简称呼吸热Q2

(3)由于通风或开库门,外界新鲜空气进入库内而带进的热量,简称换气热Q3

(4)由于冷库内工作人员操作、各种发热设备工作时而产生的热量,简称操作热Q4

耗冷量Q(单位为kW)为:

Q=Q1+Q2+Q3+Q4

随便看

 

离鸟网收录3541549条中英文词条,其功能与新华字典、现代汉语词典、牛津高阶英汉词典等各类中英文词典类似,基本涵盖了全部常用中英文字词句的读音、释义及用法,是语言学习和写作的有利工具。

 

Copyright © 2004-2024 vtrois.com All Rights Reserved
更新时间:2026/4/21 3:37:59