网站首页  词典首页


请输入您要查询的字词:

 

字词 木结构工程
类别 中英文字词句释义及详细解析
释义

木结构工程


①半圆窗 普通窗上部带有半圆窗的工程量,应分别按半圆窗和普通窗的相应定额计算。半圆窗的工程量,以普通窗和半圆窗之间的横框上面的裁口线为界线(如图2-42)

图2-42

半圆窗为正半圆时,其高度(H)的尺寸,可按门窗1/2计算。其面积计算公式为:

半圆窗=1/2×π×R2(m2)

=1/2×(0.7854×R2)

或 =(0.7854×D2)×1/2

式中 R-圆的半径;D-圆的直径。

半圆窗面积简化计算公式:

A=0.093×B2

式中 A-窗框外围面积;B-窗框外围宽度。

②门窗木材截面积换算木门窗框、扇设计规定的截面与定额中所规定的截面若不同时,应按比例换算木材量,其他工料不变。其换算公式如下:

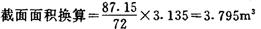
〔计算例〕 某双层玻璃窗框料截面面积72平方厘米,100平方米框外围的材积为3.135立方米。设计框料截面(净尺寸)为80×100毫米(系无上亮框料),试换算出所差材料积是多少?

解:设计截面=(框厚+刨光损耗)×(框宽+刨光损耗)

=(8+0.3)×(10+0.5)=87.15cm2

所差材积=截面面积换算材积-定额材积

=3.795-3.135=0.66m3

说明,注意木材刨光损耗,一面刨光损耗为3毫米,二面刨光损耗为5毫米,同时注意哪面刨光,哪面不刨光。例题8×10厘米(即计量单位换算与定额一致为厘米),则8厘米为框厚,一面靠墙不刨光,10厘米为框宽需二面刨光,也就是说设计截面为净尺寸需加刨光损耗。

③木屋架杆件长度计算 为简化屋架的各杆件长度的计算,可按屋架杆件长度计算系数,见图2-43所示。

图2-43

〔计算例〕 试计算浩式屋架,跨度15米,高跨1∶5为八格屋架,求各杆件长度。

解:采用浩式屋架各杆件中心线长度系数表(表2-23)查出各杆件系数

表2-23 浩式屋架各杆件中心线长度系数表

上弦=15×0.5385=8.0775m

下弦=15×1=15m

杆件1=15×0.2=3m

杆件2=15×0.1952=2.928m

杆件3=15×0.15=2.25m

杆件4=15×0.16=2.40m

杆件5=15×0.10=1.50m

杆件6=15×0.1346=2.019m

杆件7=15×0.05=0.75m

①马尾(折角、正交)部分折合普通屋架计算 为简化工程量计算,马尾(折角、正交)部分的半屋架可以按折合主屋架架数计算,其计算公式为:

图2-44

表2-24 普通人字屋架材积参考表

注:(1)屋架每一延米之全荷载如有不同时可按插入法计算。

(2)本表每支屋架之木材包括接头板及下弦两端之垫木在内。

(3)本表屋架每一延米之全荷载计算单位“公斤”修订为牛/米(即1kg/m=10N/m)。如400公斤改为4000牛/米(N/m)。

表2-25 多支点人字屋架材积参考表

随便看

 

离鸟网收录3541549条中英文词条,其功能与新华字典、现代汉语词典、牛津高阶英汉词典等各类中英文词典类似,基本涵盖了全部常用中英文字词句的读音、释义及用法,是语言学习和写作的有利工具。

 

Copyright © 2004-2024 vtrois.com All Rights Reserved
更新时间:2026/4/19 20:24:38