网站首页  词典首页


请输入您要查询的字词:

 

字词 最小二乘法原理
类别 中英文字词句释义及详细解析
释义

最小二乘法原理


使各测量值(权pi)与其最佳值之差vi平方(乘pi)之和为最小,以求出最佳值的方法,称为最小二乘法。即最小二乘法满足

在数据处理中广泛采用最小二乘法。

最小二乘法是平均值原理的推广。即对某一量多次等精度独立测得

x1,x2,…,xn

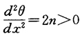
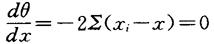
取各测量值xi权为1,则最佳值x应使

θ=∑(xi-x)2=min

故符合最小二乘法的最佳值即平均值。

不但如此,当待求的未知量多于一个时,最小二乘法也可用于求出它们的最佳值。

下面阐述用最小二乘法求直线。

在计量工作中,两量ξ,η常有或近似有线性关系,若我们等精度独立测得

1,η1),(ξ2,η2),……,(ξn,ηn),n≥2

且ξ无误差,要求配合直线

η=α+βξ (2.5-3)

即求待求量α、β的最佳值。

如图2.5-1,要对(ξi,ηi),i=1,2,…,n配直线,当然要使直线穿过所有点一般是不可能的(因测量不准),此时利用最小二乘法原理,可以要求各点至直线的纵坐标差η-(α+βξ)=v的平方和最小以解出α,β,即要求图上各正方形面积和为最小。

图2.5-1 最小二乘法求直线

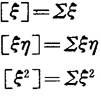
我们称

为误差方程,由于各ηi等精度,设其权pi=1,此时由

∑v2=∑η2+nα22∑ξ2+2αβ∑ξ-2α∑η-2β∑ξη

按最小二乘法要求

∑v2=min

知α、β满足

引入高斯求和符号

从而上式成为正规方程

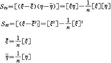
由此求得最佳值

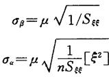
β=Sξη/Sξξ

式中

求得α、β后,代回误差方程,可得各vi

vii-(α+βξi)

而单位权标准差

由标准差传播律,可求出最佳值的标准差

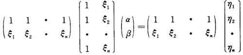
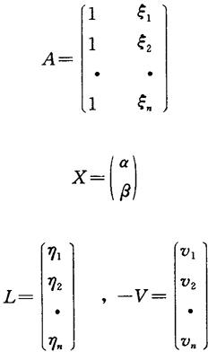
我们看到,若记误差方程(2.5-4)的矩阵形式为

AX=L+V

则设计矩阵A,待求向量X,测量向量L,残差向量V为

于是正规方程(2.5-5)的矩阵形式为

A′AX=A′L

正规方程系数阵显然为对称阵,由矩阵运算律(A′A)′=A′A,这是必然成立的。

〔例2.5-2〕 今对两量ξ,η等精度独立测得

1,η1)=(1,1.0)

2,η2)=(2,2.2)

3,η3)=(3,3.0)

4,η4)=(4,4.5)

5,η5)=(5,5.0)

则误差方程为

1.0-(α+β )=v1

2.2-(α+2β)=v2

3.0-(α+3β)=v3

4.5-(α+4β)=v4

5.0-(α+5β)=v5

由∑v2=min 得正规方程

5α+15β=15.7

15α+55β=57.4

解得最佳值

α=0.05

β=1.03

【参考文献】:

[1]王立吉,计量学基础,中国计量出版社,1988。

[2]BIPM、IEC、IFCC,IUPAC,IUPAP,OIML,Guide to the Expression of Uncertainty in Measurement, ISO,1993.

[3]刘智敏,不确定度原理,中国计量出版社,1993。

[4]刘智敏,误差分布论,原子能出版社,1988。

[5]刘智敏,误差与数据处理,原子能出版社,1983。

[6]Liu Zhimin(刘智敏),Measurement Uncertainty and Its Correlation Combination,Proceeding of ISEM, 1993.

[7]国家计量总局量值传递处编,计量技术考核纲要,计量出版社,1981。

[8]国家技术监督局审定,刘智敏等编审,全国计量检定人员考核统一试题集第六分册三,误差及数据处理,陕西科学技术出版社,1990。

随便看

 

离鸟网收录3541549条中英文词条,其功能与新华字典、现代汉语词典、牛津高阶英汉词典等各类中英文词典类似,基本涵盖了全部常用中英文字词句的读音、释义及用法,是语言学习和写作的有利工具。

 

Copyright © 2004-2024 vtrois.com All Rights Reserved
更新时间:2026/4/21 11:56:29