网站首页  词典首页


请输入您要查询的字词:

 

字词 最小二乘法
类别 中英文字词句释义及详细解析
释义

最小二乘法


一般,我们的待求量x1,x2,…,xi有t个,构成待求向量

今测得l1,l2,…,ln,n≥t 构成测量向量

而待求向量与测量向量用设计矩阵联系,由于测量不准,有误差方程

AX=L+V

为残差向量。

若l1,l2,…,ln为不等精度独立测量值,li的方差为,则随机向量L的方差

引入权矩阵

式中元素pi为li的权。

则有

1.误差方程 权P (2.5-6)

2.由得正规方程

(A′PA)X=A′PL (2.5-7)

3.待求最佳向量

X=(A′PA)-1A′PL (2.5-8)

X=(qij)A′PL (2.5-9)

式中(qij)为正规方程系数A′PA的逆矩阵。

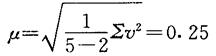
4.将待求向量代回误差方程求得V,而单位权标准差

5.待求最佳值xi的标准差

xi,xj误差间的相关系数

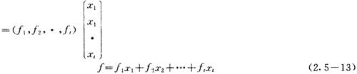
函数f=F′X

(式中fi为常数)的标准差

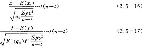
6.若xi、f的期望为E(xi)、E(f),则有

〔例2.5-3〕

今有误差方程

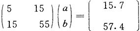
则由最小二乘法得正规方程

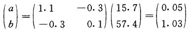
故由矩阵求逆,得

从而最佳值

a=0.05,b=1.03

代回误差方程,求得v1=a+b-1.0=0.05+1.03-1.0=0.08,……,于是

【参考文献】:

[1]王立吉,计量学基础,中国计量出版社,1988。

[2]BIPM、IEC、IFCC,IUPAC,IUPAP,OIML,Guide to the Expression of Uncertainty in Measurement, ISO,1993.

[3]刘智敏,不确定度原理,中国计量出版社,1993。

[4]刘智敏,误差分布论,原子能出版社,1988。

[5]刘智敏,误差与数据处理,原子能出版社,1983。

[6]Liu Zhimin(刘智敏),Measurement Uncertainty and Its Correlation Combination,Proceeding of ISEM, 1993.

[7]国家计量总局量值传递处编,计量技术考核纲要,计量出版社,1981。

[8]国家技术监督局审定,刘智敏等编审,全国计量检定人员考核统一试题集第六分册三,误差及数据处理,陕西科学技术出版社,1990。

随便看

 

离鸟网收录3541549条中英文词条,其功能与新华字典、现代汉语词典、牛津高阶英汉词典等各类中英文词典类似,基本涵盖了全部常用中英文字词句的读音、释义及用法,是语言学习和写作的有利工具。

 

Copyright © 2004-2024 vtrois.com All Rights Reserved
更新时间:2026/4/20 6:51:25