消费者在把既定收入用于各种物品的支出时,所依据的使效用最大化的标准。
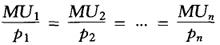
按传统经济学的分析,消费者总是力图在各种可供选择的商品中作出抉择,使得从既定收入的支出所购买的各种物品的消费中得到最大的满足。消费者最大效用满足选择依基数效用论和序数效用论而有两种表达方式:(1)每种物品每1元的边际效用相等。只要消费者把他的收入做这样的安排,以致使每一种物品的边际效用都与其价格形成相同的比例,则在不同商品上的最后1元支出所提供的边际效用必然相等。由此所实现的消费支出,就能给消费者带来最大的效用满足。如果以MUi表示i的边际效用,pi表示商品i的价格(i=1,2,…,n)。则实现消费者最大效用满足的条件为:

(2)边际替代率与预算线的斜率相等。把一条尽可能高的无差异曲线和预算线相切,切点就是消费者支出的最大效用满足之点。在该点上,无差异曲线的斜率的绝对值即边际替代率和预算线的斜率的绝对值(两种商品的价格比率)相等,即:

这种情况表明,消费者既定收入在两种商品i和j的支出选择上达到了最大效用满足的境界。这时消费者不再调整他用于各种商品上的支出而达到均衡状态,所以最大满足原则又称为消费者均衡条件。
〖参〗最小遗憾原则