网站首页  词典首页


请输入您要查询的字词:

 

字词 最佳测量条件选取
类别 中英文字词句释义及详细解析
释义

最佳测量条件选取


当测量结果f与条件x1,x2…xN有关

f=f(x1,x2…xN)

问条件如何选,才能使f不确定度最小?

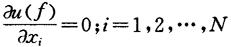
因f的标准不确定度u(f)取决于xi及其标准不确定度u(xi)

u(f)=φ(x1,x2,…,xN;u(x1),u(x2),…,u(xN))

因u(xi)固定时,欲u(f)最小,可解

欲u(f)/f最小,可解

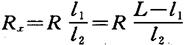
〔例2.7-1〕由已知电阻R在电桥上测量待求电阻

其中l1,l2为电桥滑线两臂长,l1+l2=L为固定总长。

只仅考虑l2的标准不确定度u(l2),则

因为u(l2)常数,得

l2=L/2

即当滑线电组触头放在滑线中央时,或待求电阻与已知电阻相等时,可以得出最有利的条件。

【参考文献】:

[1]王立吉,计量学基础,中国计量出版社,1988。

[2]BIPM、IEC、IFCC,IUPAC,IUPAP,OIML,Guide to the Expression of Uncertainty in Measurement, ISO,1993.

[3]刘智敏,不确定度原理,中国计量出版社,1993。

[4]刘智敏,误差分布论,原子能出版社,1988。

[5]刘智敏,误差与数据处理,原子能出版社,1983。

[6]Liu Zhimin(刘智敏),Measurement Uncertainty and Its Correlation Combination,Proceeding of ISEM, 1993.

[7]国家计量总局量值传递处编,计量技术考核纲要,计量出版社,1981。

[8]国家技术监督局审定,刘智敏等编审,全国计量检定人员考核统一试题集第六分册三,误差及数据处理,陕西科学技术出版社,1990。

随便看

 

离鸟网收录3541549条中英文词条,其功能与新华字典、现代汉语词典、牛津高阶英汉词典等各类中英文词典类似,基本涵盖了全部常用中英文字词句的读音、释义及用法,是语言学习和写作的有利工具。

 

Copyright © 2004-2024 vtrois.com All Rights Reserved
更新时间:2026/4/20 20:01:50