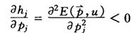
在效用水平保持不变的条件下,由某一商品价格p变动引起的消费者对特定商品需求量的影响。它是商品需求量随商品价格变动的总变化率的一部分,即斯卢茨基方程中的右端第一项。

在上式中,当j=i时,称为直接替代效应,为负值,即:

如果支出函数E(
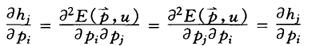
,u)是严格凹函数的话。这意味着在保持效用水平不变的条件下,商品需求量随其自身价格按相反方向变动。当j≠i时,称为交叉替代效应,其符号可能为正(j和i是替代品),也可能为负(j和i是互补品)。但两种商品的交叉替代效应具有对称性,即:

如果支出函数E(
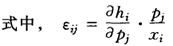
,u)是连续函数的话。这意味着在效用水平保持不变的条件下,当商品j的价格变动时,商品i的需求量调整的效应等同于当商品i的价格变动时商品j的需求量调整的效应。消费者所消费的任何一种商品需求量对其所消费的全部商品价格的补偿的需求价格弹性之和等于零:
εi1+εi2+…+εin=0

任何商品i的补偿需求的价格弹性的绝对值等于所有补偿需求交叉价格弹性之和,即:
|εij|=εi1+εi2+…+εii-1+εij+1+…+εin
〖参〗收入效应