网站首页  词典首页


请输入您要查询的字词:

 

字词 普通计数法
类别 中英文字词句释义及详细解析
释义

普通计数法


1.基本原理

如图8.5-1所示

图8.5-1 计数法测频

被测信号经放大整形后变成脉冲信号。内部晶振经分频后产生几种闸门信号。闸门信号打开电子门后,被测信号通过电子门进入计数条开始计数,闸门信号关闭电子门后,计数停止,并显示所计的数值。设闸门时间为τ,计的数值为N,则有:

或相对频率偏差

2.测量不确定度

对(8.5-2)式进行微分,即得y(τ)的测量不确定度。

为晶振的周期。

τ=nτ0为闸门时间

由于频率实际值与标称值偏差都很小,故此式中可近似的取N≈f0τ

则有

右边第二项为内部晶振周期的不确定度,它也等于晶振频率的不确定度。如果测量目的是测定被测频率的准确度,则这项不确定度是指内部晶振的频率准确度;如测量目的是被测频率的稳定度、则此项相应的也为内部晶振的稳定度。

右边第一项的dN为计数不准引入的误差,通常取dN±1,则第一项就是所谓±1计数误差。下边详细分析这一误差的来源及含义。

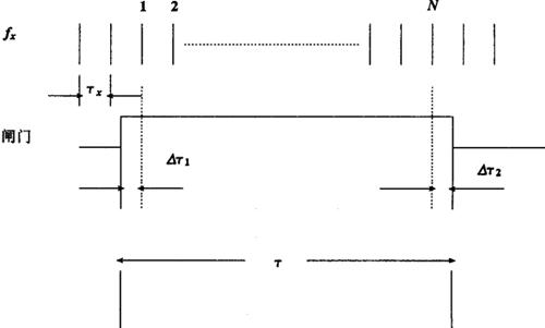
参看图8.5-2

图8.5-2 ±1计数误差

设τx为被测信号的周期,从图中可得出严格的时间关系为:

τ=Δτ1+(N-1)τx+Δτ2

=Nτx+(Δτ1+Δτ2-τx) (8.5-4)

第二项是无法准确给出的测量误差,但可以求出每个误差的范围。

由图中看出0≤Δτ1≤τx,0≤Δτ2≤τx

故有-τx≤(Δτ1+Δτ2-τx)≤τx

相应的频率实际值应为

这意味着,实际频率比测得值N/τ可能高,但最高不会高出1/τHz;也可能低,但最低也不会低出1/τHz。故频率实际值可以写成

相应的(8.5-3)或可写成

第二项就是到±1引起的测量不确定度。

第一项为内部晶振的准确度或稳定度,可以人为的采用高稳晶振,甚至可以用原子频标代替,因而这一项可做到很小。但第二项是无法克服的,当f0及τ一定时,此项就是计数法测频所能得到的最小不确定度,因而称为这种方法的测量分辨率。下边派生出的所有测量方法都是为了提高测量分辨率。

【参考文献】:

[1]王义遒等,量子频标原理,科学出版社,1986。

[2]吴守贤等,时间与频率,科学出版社,1983。

[3]黄秉英等,时间频率的精确测量,计量出版社,1986。

[4]王江现代测量技术,计量出版社,1987。

[5]P. Kartaschoff ,Frequency and Time,Academic Press ,1978.

[6]J. A. Barnes et al. ,Characterization of frequency stability, IEEE Trans Instrum Meas. IM —20,p.105—120,1971.

[7]Time and frequency:Theory and Fundamentals,NBS Manograph 140,1974.

[8]D. W. Allan ,The measurement of fruquency and frequency stability of precision oscillator,Proc.6th Ann PTTI Planning Meeting.

[9]Annual Report of the BIPM Time Sectina,1974.

随便看

 

离鸟网收录3541549条中英文词条,其功能与新华字典、现代汉语词典、牛津高阶英汉词典等各类中英文词典类似,基本涵盖了全部常用中英文字词句的读音、释义及用法,是语言学习和写作的有利工具。

 

Copyright © 2004-2024 vtrois.com All Rights Reserved
更新时间:2026/4/19 12:09:03