劳动定额也称人工定额,它的表现形式分为时间定额和产量定额两种。
①时间定额 某种专业、技术等级、工人班级或个人,在完成单位合格产品所必需的工作时间,包括准备与结束时间、基本生产时间、辅助生产时间、不可避免的中断时间及工人的必需休息时间。时间定额以工日为单位,每一工日按8小时计算。其计算公式为:

②产量定额 某种专业、技术等级的工人班组或个人,在单位工作中所应完成的合格产品数量。其计算公式为:

从上式可以看出,时间定额与产量定额互为倒数关系,只要确定了时间定额就能直接求得产量定额。即:时间定额×产量定额=1

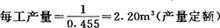
[计算例] 如劳动定额规定砌单面清水墙1.5砖厚为
,其分子为时间定额,分母为产量定额。

反之,将每工日可砌2.20立方米(产量定额)每立方米单面清水墙需要工时
