网站首页  词典首页


请输入您要查询的字词:

 

字词 时标的技术指标
类别 中英文字词句释义及详细解析
释义

时标的技术指标


时标的技术指标主要有两个,一是准确度,是指所用的时间单位秒与定义值的偏离程度,它直接决定着时标给出的时刻相对理想时标上时刻的偏离情况;二是稳定性,是指所给出的时间间隔彼此一致性的程度。

时标计算后,它的保持和应用最终都是用一台具体的时钟来实现。一般都是用原子钟。当然也可用石英钟,但所给的技术指标都是较低的。这样,时标的技术指标就转换到数字时钟的技术指标。

1.钟的读数

时钟的读数就是给出的时刻。读数是对秒信号连续累积得到。秒信号是由主振器经过分频产生的,所以实际上对主振器的振荡信号连续累积。设主振器的实际频率为f,标称值为f0,t为理想时标的时刻。则从t=0开始到t时刻,时钟的读数为

对于此式需加以说明。t为理想时标的时刻,而T(t)是一台具体时钟在t时给出的时刻。积分值是累积的振荡次数,为主振器周期的标称值,即每振荡一次,该钟给出的读数就是1个τ0,而实际周期并不等于τ0。显然,只有当实际值一直等于标称值时,才有T(t)=t,即为理想时标。

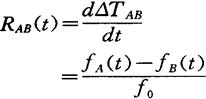
2.钟的读数差、钟速

主振器频率标称值相同的两台钟A与B在理想时刻t时的读数差为

钟差的获得,如果差值大于1秒,则可从钟面上读出:小于1秒时,则要测量两个秒脉冲之间的时间间隔。如图8.7-5所示。两个秒脉冲对应的钟的读数是相同的。

图8.7-5 钟的读数差

图(a)表示A钟读数超前B钟,则ΔTAB>0,图(b)表示A钟滞后B钟,则ΔTAB<0。

钟差对于时间的变化率,称为两台钟的相对速率。

瞬时速率

平均速率

(8.7-6)

τ=t2-t1

由此看出,平均速率即为两台钟的平均频率偏差。

钟速的单位一般为μs/d和ns/d

如果两台钟的相对速率为

R(t)=1μs/d

则相对频率偏差为

y(t)=1×10-6s/86400s≈1.1×10-11

一台钟相对理想钟或频率准确度高一个数量级的参考钟的速率,称为这台时钟的准确度,实际上就是主振器频率的准确度。

3.钟的稳定度

钟的稳定度是指所给出的时间间隔的起伏程度。也用Allan方差的平方根表征。

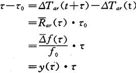
设τ=Ta(t+τ)-Ta(t)为所给的时间间隔。参考钟给出的间隔为τ0=Tr(t+τ)-Tr(t),则

由此得

δ20)为参考钟的稳定度,比δ2(τ)小一个数量级,故有

δ(τ)=δy(τ)·τ (8.7-7)

其中δy(τ)就是取样时间为τ时的频率稳定度。δ(τ)称为时间间隔的稳定度。

4.时钟偏差的估算

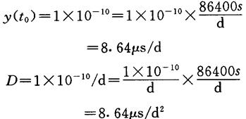
时钟是用来保持标准时间的,要求给出的时刻与统一的标准时标的时刻偏差应尽可能的小。为此,应经常的用标准时标信号进行校准,但在两次校准之间,时刻偏差将按时钟本身的速率变化。如果主振器用的是晶振,由于晶振频率存在老化,又使时刻偏差出现加速率。设在t0时,时钟相对参考钟校准后的偏差为ΔT(t0),则到t时,钟差可用下式估算

y(t0)为t0时,主振器频率的相对偏差,钟的速率

D为频率老化率,钟的加速率。

估算时注意单位。

若ΔT(t)用μs作单位,t用天(d)为单位

则y(t0)的单位为μs/d

D的单位为μs/d2

例如

【参考文献】:

[1]王义遒等,量子频标原理,科学出版社,1986。

[2]吴守贤等,时间与频率,科学出版社,1983。

[3]黄秉英等,时间频率的精确测量,计量出版社,1986。

[4]王江现代测量技术,计量出版社,1987。

[5]P. Kartaschoff ,Frequency and Time,Academic Press ,1978.

[6]J. A. Barnes et al. ,Characterization of frequency stability, IEEE Trans Instrum Meas. IM —20,p.105—120,1971.

[7]Time and frequency:Theory and Fundamentals,NBS Manograph 140,1974.

[8]D. W. Allan ,The measurement of fruquency and frequency stability of precision oscillator,Proc.6th Ann PTTI Planning Meeting.

[9]Annual Report of the BIPM Time Sectina,1974.

随便看

 

离鸟网收录3541549条中英文词条,其功能与新华字典、现代汉语词典、牛津高阶英汉词典等各类中英文词典类似,基本涵盖了全部常用中英文字词句的读音、释义及用法,是语言学习和写作的有利工具。

 

Copyright © 2004-2024 vtrois.com All Rights Reserved
更新时间:2026/4/20 12:08:49