网站首页  词典首页


请输入您要查询的字词:

 

字词 日落黄
类别 中英文字词句释义及详细解析
释义

日落黄


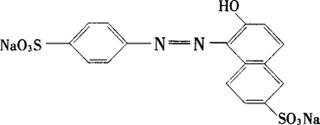
结构式

分子式:C16H10N2Na2O7S2

相对分子质量:452.36

一、日落黄的鉴别

1.试剂和溶液

1.1 乙酸铵 0.02mol/LCH3COONH4溶液。

1.2 无水乙醇。

1.3 正丁醇。

1.4 氨水 1%溶液。

2.仪器

2.1 分光光度计。

2.2 新华层析滤纸 1号中速。

2.3 标本缸 Φ100mm×220mm。

2.4微量进样器 0.01mL。

3.操作步骤

3.1 0.1g样品溶于100mL水中呈橙黄色澄清溶液,样品微溶于乙醇,不溶于油脂,具有酸性染料的特性,能使动物纤维染色。

3.2 在100mL0.02mol/LCH3COONH4溶液中,含有0.001g样品的溶液,其最大吸收波长为(482±2)nm。

3.3 取样品水溶液,作纸上层析,其主色点的Rf应与标准样品相同。

纸上层析条件:

展开剂∶正丁醇∶无水乙醇∶氨水(6∶2∶3)

温度:20~25℃

试液用量:0.002mL

展开剂前沿上升限度:150mm

二、日落黄的含量测定

称取样品约5g(准确至0.0002g),溶于新煮沸并已冷却到室温的水中,移入500mL容量瓶中,稀释至刻度,摇匀,吸取50mL,作为检测液,按本章第一节“二、苋菜红的含量测定”,用0.1mol/LTiCl3滴定。进行定量。

1mL0.1mol/LTiCl3溶液相当于11.31mg日落黄。

三、食品中日落黄的测定

见本章第一节“三、食品中合成着色剂的测定”。

四、日落黄铝色淀

Sunset Yellow Aluminum Lake

本品为展布于氧化铝水化物上的水溶性食品着色剂日落黄的铝色淀。

日落黄铝色淀鉴别方法:

(1)本品0.5g溶于5mL浓盐酸中,置于500mL容量瓶中,加入0.1mol/LK2HPO4溶液至刻度,摇匀,然后吸取2mL置于50mL容量瓶中,再用0.1mol/LK2HPO4溶液稀释至刻度,该溶液的最大吸收波长应为(482±2)nm。

(2)本品0.1g加入5mL盐酸(1+3),在水浴上加热约5min,不断摇动使之溶解,呈澄清黄色溶液,冷却,用氨水(1+2)中和,溶液逐渐变成橙色胶状沉淀。

(3)本品0.1g加入100g/LNaOH溶液5mL,在水浴上加热5min,摇动使之溶解,呈黄色澄清溶液,冷却后用盐酸(1+3)中和至中性,则形成橙色胶状沉淀。

随便看

 

离鸟网收录3541549条中英文词条,其功能与新华字典、现代汉语词典、牛津高阶英汉词典等各类中英文词典类似,基本涵盖了全部常用中英文字词句的读音、释义及用法,是语言学习和写作的有利工具。

 

Copyright © 2004-2024 vtrois.com All Rights Reserved
更新时间:2026/4/20 4:20:05