网站首页  词典首页


请输入您要查询的字词:

 

字词 方便面的检验
类别 中英文字词句释义及详细解析
释义

方便面的检验


(一)样品的采集与预处理

未配有调味料的方便面:取袋装或碗装方便面3袋(碗)为一件(约250g),简易(或散装)包装方便面200g,然后于玻璃乳钵中研碎混匀后放置在广口瓶保存于冰箱中备用。

配有调味料的方便面:取袋装或碗装方便面3袋(碗)为一件(约250g),简易(或散装)包装方便面200g,然后将面块和调味料一起于玻璃乳钵中研碎混匀后放置在广口瓶保存于冰箱中备用。

(二)感官检验

取两袋(碗)以上样品观察,应具有各种方便面正常的色泽,不得有霉变及其他外来的污染物。

取一袋(碗)样品,放入盛有500mL沸水的锅中煮3~5min后观察,应符合感官指标的烹调性要求。

(三)理化指标

1.水分和脂肪的测定

参见第二章第一节。

2.酸价、过氧化值、羰基价、铅、砷、食品添加剂、黄曲霉毒素B1的测定

参见第二章第二节。

3.方便面净含量偏差测定(SB/T 10250-1995)

用感量为0.5g天平,分三次称量10包净面块,净含量偏差:

式中 P——净含量偏差(%);

m1——10包净面块总量(g);

m——10包样品面块标志量总和(g)。

4.方便面复水时间测定(SB/T 10250-1995)

取面块一块于容器中,加入约5倍于面块重量的沸水,立即将容器加盖,同时用秒表计时。当用玻璃片2块(20cm×20cm)夹紧软化面块,观其糊化状态无明显硬心时,记录所用复水时间。

5.方便面碘呈色度测定(SB/T 10250-1995)

按《糕点卫生标准方法》中样品预处理方法将样品中脂肪提取干净,取约5g,立即研磨,并全部通过CB 36(100目)筛绢,备用。

称取制备的试样2.000g于150mL三角瓶中,加入20.0mL蒸馏水,置于50℃±1℃恒温振荡器中振荡30min,摇匀后倒入离心管,以3000r/min的转速离心10min。取上清液1.00mL置于50mL容量瓶中,加入5mLpH5.8的缓冲溶液和1.00mL 0.05mol/L碘-碘化钾溶液,用蒸馏水定容,摇匀。

同时,取1.00mL蒸馏水代替上清液制备空白溶液。

用分光光度计,在波长570nm处,用1cm比色皿,以空白溶液调整零点,测定上清液吸光度。

碘呈色度为:

IOD=Z×A

式中 IOD——碘呈色度;

A——吸光度;

Z——稀释倍数。

计算结果精确至小数点后第二位,同一样品2次测定值之差不得超过0.05。

说明:①pH=5.8缓冲溶液为磷酸二氢钾-磷酸氢二钾缓冲溶液配制方法:

a液:称取13.6g磷酸二氢钾,溶于蒸馏水中,定容至1000mL;

b液:称取16.42g磷酸氢二钾,溶于蒸馏水中,定容至1000mL;

吸取a液50mL b液4.5mL,混合后用蒸馏水定容至100mL。即pH=5.8缓冲溶液。

②恒温振荡器:振幅12mm,振荡频率140r/min。

6.氯化钠的测定(SB/T 10250-1995)

用天平称取经粉碎的试样20.00g,精确至0.01g,倒入250mL三角瓶中,用量筒加入100mL蒸馏水,振摇40min,用抽滤瓶抽滤,滤液待用。用移液管吸取25mL滤液于150mL三角瓶中,加入1mL5%铬酸钾溶液,用0.1mol/L硝酸银标准溶液滴定至初显橘红色为止。同时做空白试验。

式中 x——氯化钠含量(%);

V1——滴定消耗硝酸银标准溶液的体积(mL);

V2——空白试验中滴定消耗硝酸银标准溶液体积(mL);

c——硝酸银标准溶液的浓度(mol/L);

m——试样质量(g);

0.0585——与1.00mL硝酸银标准溶液[c(AgNO3)=1.000mol/L]相当的氯化钠的质量(g)。

注意事项:

(1)本法滴定时,不能在酸性中进行,酸性中铬酸银按下式反应而使浓度大大降低。使在化学计量点时,不能形成铬酸银沉淀。2CrO42-+2H+=2HCrO4-=Cr2O72-+H2O。本法也不能在碱性中进行,因银离子将形成氧化银沉淀。因此,若滴定要在pH=6.3~10的范围内进行。

(2)铬酸钾指示剂加入过多或过少,会使铬酸银沉淀的析出偏早或偏迟,以致产生误差,一般在50~100mL溶液中加入5%铬酸钾溶液1mL。

(3)滴定时,必须剧烈摇动。由于滴定时生成的氯化银沉淀容易吸附溶液中过量的氯离子,使溶液中氯离子浓度降低,与之平衡的银离子浓度增加,以致未到等当点时铬酸银沉淀便过早生成,故滴定时必须剧烈摇动,使被吸附的氯离子释放出来以减少误差。

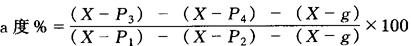
7.a度测定

(1)将样品先在索氏抽提器中把脂肪提净,粉碎成粉末。

(2)用天平分4次称取,每次称重1g(准确到0.001g),分别放入4只各为100mL的三角瓶A1、A2、A3、A4中,各加入50mL蒸馏水;另取一瓶B加50mL蒸馏水做空白试验。

(3)将A1、A2用电炉加热沸腾15min,然后迅速冷却至20℃,在A1、A3、B瓶内加入5%淀粉溶液5mL(即用即配),然后在保持37℃恒温条件下不断摇匀,90min后取出,加入1mol/L盐酸2mL。

(4)过滤A1、A2、A3、A4、B液为样液(用大张滤纸吸滤)。

(5)取A1、A2、A3、A4、B样液各10mL,分别放入100mL三角瓶内(带塞),各加10mL 0.1mol/L碘液和18mL 0.1mol/L氢氧化钠溶液,塞紧瓶子,静置15min。

(6)静置后,各瓶均加入10%硫酸2mL,用0.1mol/L的硫代硫酸钠溶液滴定,记下各瓶用去的硫代硫酸钠毫升数。

再做碘液的空白实验:取10mL0.1mol/L碘液放入三角瓶中,以硫代硫酸钠溶液滴定。

式中 P1——滴定A1样液消耗的硫代硫酸钠mL数;

P2——滴定A2样液消耗的硫代硫酸钠mL数;

P3——滴定A3样液消耗的硫代硫酸钠mL数;

P4——滴定A4样液消耗的硫代硫酸钠mL数;

g——滴定B样液消耗的硫代硫酸钠mL数;

X——滴定碘液消耗的硫代硫酸钠mL数。

a度测定结果,计算到小数点后一位,第二位四舍五入。试验允许误差2%,取其平均值,即为测定结果。

(四)微生物检验

(补充了一段微生物采样样品处理步骤)。

参见第二章第三节。

随便看

 

离鸟网收录3541549条中英文词条,其功能与新华字典、现代汉语词典、牛津高阶英汉词典等各类中英文词典类似,基本涵盖了全部常用中英文字词句的读音、释义及用法,是语言学习和写作的有利工具。

 

Copyright © 2004-2024 vtrois.com All Rights Reserved
更新时间:2026/4/19 12:56:06