网站首页  词典首页


请输入您要查询的字词:

 

字词 新发行普通股成本
类别 中英文字词句释义及详细解析
释义

新发行普通股成本


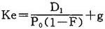
亦称外部权益成本(THECOSTOFEXTERNALEQUITY)作为一种资本要素成本,在公司收益的增长率连续、稳定时,它的计算公式为:

其中:Ke为新发行普通股成本;F表示新发行股票的发行成本率;P0表示股票的现行价格;g表示预计增长率。

随便看

 

离鸟网收录3541549条中英文词条,其功能与新华字典、现代汉语词典、牛津高阶英汉词典等各类中英文词典类似,基本涵盖了全部常用中英文字词句的读音、释义及用法,是语言学习和写作的有利工具。

 

Copyright © 2004-2024 vtrois.com All Rights Reserved
更新时间:2026/4/20 1:51:27