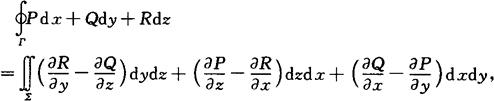
斯托克斯(Stokes)公式 设Γ为分段光滑的空间有向闭曲线,∑是以Γ为边界的分片光滑的有向曲面.Γ的正方向与∑的侧符合右手规则(1).函数P(x,y,z),Q(x,y,z),R(x,y,z)在包含曲面∑在内的一个空间闭区域内具有一阶连续偏导数,则

或

其中n={cosα,cosβ,cosγ}为有向曲面∑的单位法向量.
空间曲线积分与路径无关的条件 设空间开区域G是一维单连通域(2),函数P(x,y,z),Q(x,y,z),R(x,y,z)在G内有一阶连续偏导数,则空间曲线积分
在G内与路径无关(或说沿G内任意闭曲线的曲线积分
的充分必要条件是在G内恒有

环流量与旋度
(1)设向量场A=Pi+Qj+Rk,则

称为向量场A的旋度.记为rotA,即

(2)设向量场A=Pi+Qj+Rk,则

称为向量场A沿有向曲线Γ的环流量.上式也可写为

其中At是向量A在有向曲线Γ的切线向量t上的投影.t=cosλi+cosμj+cosγk.cosλ,cosμ,cosγ是t的方向余弦.
斯托克斯公式可表示为向量形式:

(右边的ds是曲线Γ的弧微分,左边的dS是曲面∑的面积微分)