网站首页  词典首页


请输入您要查询的字词:

 

字词 斯卢茨基补偿
类别 中英文字词句释义及详细解析
释义

斯卢茨基补偿


又称斯卢茨基收入补偿。

当价格变动引起消费者的实际收入变化时,为保持实际收入不变而进行的一种收入补偿方式。对实际收入的定义不同,收入补偿的方式也就不同。经济学家斯卢茨基(E.Slutsky)认为,实际收入不变是指得到补偿收入后的消费者能够购买价格变动前的最佳商品组合,即补偿收入后的消费者均衡配置将在经过最初的最佳商品组合且与价格变动后的预算线平行的补偿预算线上。

新的预算线与补偿预算线的货币差额,就是收入的斯卢茨基补偿。

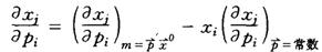
按照斯卢茨基补偿法,总的价格效应可分解为斯卢茨基替代效应(Slutsky Substitution Effect)和斯卢茨基收入效应(Slutsky Income Effect),相应的斯卢茨基方程为:

其中,是变动后的价格向量,是价格变动前的最佳商品组合。如图所示,当商品1降价时,均衡配置由A()点移至C()点,B2B2线是斯卢茨基补偿预算线,B3B3是希克斯补偿预算线。

()是斯卢茨基替代效应,()是希克斯替代效应;()是斯卢茨基收入效应。()是希克斯收入效应。

显然,,但

相应地可以导出斯卢茨基需求曲线(Ds)和希克斯需求曲线(DH或H)及马歇尔需求曲线(D)。

斯卢茨基补偿法是各种消费物价指数等概念的理论基础,衡量实际收入时不存在计量方面的困难,但它不如希克斯补偿法那样能够较准确地衡量生活标准的变动。

〖参〗希克斯补偿

随便看

 

离鸟网收录3541549条中英文词条,其功能与新华字典、现代汉语词典、牛津高阶英汉词典等各类中英文词典类似,基本涵盖了全部常用中英文字词句的读音、释义及用法,是语言学习和写作的有利工具。

 

Copyright © 2004-2024 vtrois.com All Rights Reserved
更新时间:2026/4/20 1:53:01