网站首页  词典首页


请输入您要查询的字词:

 

字词 数学模拟
类别 中英文字词句释义及详细解析
释义

数学模拟


数学摸拟实验是以模型和原型之间的数学形式相似为基础的实验研究方法。模型和原型的材料、结构和物理过程可以完全不同,只要它们遵循的规律在数学上具有完全相同的形式,就可以运用这种实验方法。例如,图4.5.7-2所示的机械系统,其中m为储能器的质量,k为弹簧的弹性系数,D为阻尼器的阻尼系数,F(t)为施加于m上的随时间t变化的外力。则描述该系统的运动方程为

图4.5.7-1

图4.5.7-2

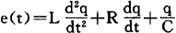
在图4.5.7-2的电路系统中,L为电感线圈的电感量,R为电阻的电阻值,C为电容器的电容量,e(t)为随时间变化的电势。依基尔霍夫第二定律,则可写出描述电路系统的电势方程为

可以看出,两个系统的数学方程式是一样的,只是方程变量和系数的物理含意不同而已。这样,就可以利用电路装置来作为机械系统的数学模型,对机械系统的运动进行研究。因为装配电路远比制造其他实物模型简单,而且电路变换和参数的测量也比较容易,因此,数学模拟实验多数采用电路装置作模型,称之为电摸拟或电拟法。

数学模拟实验与模型实验相比,在研究事物的主要性能和规律时,具有使用简便、通用性强的特点。但由于事物的复杂过程往往不能用几个简单的数学方程式可以表示清楚的,所以,在需要反映原型所发生的综合过程时,则更多的是采用模型实验。

随便看

 

离鸟网收录3541549条中英文词条,其功能与新华字典、现代汉语词典、牛津高阶英汉词典等各类中英文词典类似,基本涵盖了全部常用中英文字词句的读音、释义及用法,是语言学习和写作的有利工具。

 

Copyright © 2004-2024 vtrois.com All Rights Reserved
更新时间:2026/4/20 21:09:22