在以横轴代表产量,纵轴代表成本的坐标图中,分别标明一定期间内产量以及与之相应的混合成本的座标点;然后,经目测,于座标点中确定可近似地反映产量同混合成本之间相互依存关系的趋势直线,借以区分混合成本总额中固定成本和变动成本含量的一种方法。其基本步骤是:
(1)根据产量和混合成本的历史观测数据,确定相应的座标点;
(2)用目测法确定趋势直线,使该直线上、下各方的座标点数目相等;
(3)确定固定成本含量,即确定趋势直线在纵轴上的截距a;
(4)确定变动成本含量;
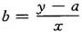
①由某一观测点(x,y)确定变动成本率

式中x、y分别为某一时期的实际产量和相应的混合成本。
②确定变动成本含量bx
(5)确定混合成本公式y=a+bx