网站首页  词典首页


请输入您要查询的字词:

 

字词 播种机的使用与保养
类别 中英文字词句释义及详细解析
释义

播种机的使用与保养


(一)播种前的准备

(1)播种前需将土地整平耙碎。

(2)种子要经过清选、药剂处理和发芽率试验,以确保苗齐苗壮。

(3)根据排肥器工作性能,做好肥料准备工作。

(二)机组挂接的调整

(1)使用轮式拖拉机时,要根据不同作物的行距来调整拖拉机的轮距,使轮子走在行间,以免影响播种质量。在使用履带式拖拉机时,最好留出履带道(中耕作业道),以便于进行播种以后的其他机械化作业。

(2)拖拉机与播种机挂接时,机具中心应对正拖拉机中心,按要求的连接位置进行挂接,保证播种机的仿形性能。

(3)拖拉机与播种机挂接后,应使机具在工作时左右、前后保持水平。播种机左右不水平时,应将机具落下,通过拖拉机悬挂机构的提升杆进行调整,然后将机具升起,进行检查。播种机前后不水平时,可通过拖拉机上拉杆进行调整。播种作业时,应将拖拉机液压操纵杆放在“浮动”位置工作。

(4)悬挂播种机升起时,如果拖拉机有翘头现象,可在拖拉机前轮或“元宝”梁上加配重,以增加拖拉机的纵向稳定性。

(三)播种机的调整

播种机的工作质量和很多因素有关,而播种机的调整是一个很重要的因素。播种机上的调整项目很多,调整方法因各种播种机的具体结构而不同,但其基本原则是一致的。重要的调整项目有行距、穴距、播量、播深和划印器长度等。

1.行距的调整 播种行距由农业技术要求决定。各种播种机的行距均可调整,以满足农业技术要求。有些谷物条播机上带有开沟器安装样板,根据样板上的标记号,可确定开沟器安装位置。如果没有样板,可按以下步骤来配置条播机的开沟器:

(1)按下式计算开沟器安装数目:

式中:LK——播种机梁长度(cm);

bL——开沟器拉杆安装宽度(cm);

b——要求的行距(cm);

n——开沟器的数量(取整数)。

(2)开沟器的安装:安装时应以播种机中线为对称线配置开沟器。前后开沟器应互相错开。开沟器为偶数时,中间两个开沟器可以都装前列开沟器;当播种行数为原机行数的1/2以下时,可全部装后列开沟器。开沟器固定后,必须检查实际行距,并进行校正。这对开沟器拉杆已经变形的旧播种机更为重要。

根据开沟器的位置安装输种管。多余的排种口用堵种器堵住。并调整开沟器起落调节机构中相应的杆件位置。

中耕作物播种机的行距调整方法与条播机相似,只是开沟器无前后之分,而且不需要卸掉开沟器。如果播种后要进行机械中耕,则必须使播种机幅宽等于中耕机幅宽或是中耕机幅宽的整数倍。

2.穴距的调整 中耕作物穴播时,用改变传动比来调整穴距,传动比计算公式为:

式中:Dd——行走轮直径(mm);

δ——行走轮打滑系数;

e——穴距(mm);

m——排种盘上槽孔数;

i——传动比。

3.播量的调整 播种机必须按规定的亩播量播种。所以,在播种前应按规定进行调整。播种时,要进行田问校核。谷物条播机调整校核方法是:

(1)播前调整:条播机播前调整在机库或农具停放场进行。首先按种子粒型选定排种间隙,初选排种传动比及槽轮工作长度,调整后加以固定。再将机器水平架起,在种子箱内加入种子,转动几圈地轮,使排种杯内充满种子。然后在输种管下放好盛接种子的容器,以20~30r/min的转速,均匀地转动地轮n圈(通常为30圈左右)。这时各排种器排出的种子总量应与根据亩播量算得之排种量G一致,误差不得超过1%~2%。如不一致,可调整排种槽轮的工作长度或传动比重新调试,直到符合要求为止。排种量G可按下式计算:

式中:G—全部排种器的排种总量(kg);

Q——亩播量(kg/亩);

B——工作幅宽(m);

D——地轮直径(m);

δ——地轮滑移系数;

n——实验时地轮转动圈数。

(2)田间校核:播种机工作时,因受滑移率变化、机器振动、地形变化等因素的影响,播种量可能与室内试验不同,所以要进行田间校核。

播种量的田间校核方法如下:

①选已知垄长的地块。

②在种子箱内装入一定数量的种子,刮平,在种子箱内壁上做上记号。

③计算播种机播一趟的播种量G,并将这一部分种子加入种箱。

式中:Q——亩播量(kg/亩,“亩”为废除单位);

B——播种幅宽(m);

L——地块长度(m)。

④试播一趟,再刮平种子箱内种子,看与前面所做记号是否一致,如不符合,可调整排种量,再做试验。

穴播时,如农业要求为亩播量,也可按上法调整。但一般都是用保证穴距和每穴种子粒数来保证播量。所以室内试验和田间校核时都应检查穴距和平均每穴粒数是否符合要求。

4.划印器臂长度计算及调整 播种作业时,需安装划印器,并根据行距、行数和拖拉机前轮轮距确定划印器的长度。划印器长度也要按拖拉机驾驶员所选定的目标而定,举例如下(图6-6):

图6-6 划印器臂长示意

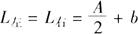
(1)轮式拖拉机正位驾驶,目标取拖拉机中央时,左右划印器臂等长,可按下式计算:

式中:L——划印器圆盘接地点与外侧开沟器尖端的距离(cm);

A——两外侧开沟器的距离(cm);

b——行距(cm)。

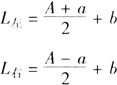
(2)偏位驾驶,拖拉机右前轮或右履带压在划印器划出的沟痕上时,划印器臂左长右短,可按下式计算:

式中:L——划印器圆盘接地点与外侧开沟器尖端的距离(cm);

A——两外侧开沟器的距离(cm);

a——拖拉机前轮轮距或履带距(cm);

b——行距(cm)。

有些驾驶员在水箱盖右侧22cm处做一个标志,使此标志对正划印标记作业,这时应将代入上述公式计算,用这种方法驾驶员可以正视前方。

在实践中,有些驾驶员不需要计算也能准确地确定划印器圆盘的位置(即左、右臂长)。首先确定驾驶员在机车上所抓取的目标作为标志,过此标志点平行于机车前进方向向后划一延长线,此线与播种机主梁在地面上的投影线相交点为A点(图6-7)。将外侧开沟器以外各半个行距之处定为D、D点。然后取一条绳子,把绳子的一端定放在A点,另一端在绷直的情况下定放在D点上,并以D点为圆心,以DA为半径,将A点绳头向左旋转180°,在A点绳头落地处划一记号为C点,该点就是左侧划印器圆盘的划线位置。同样以D为圆心,以DA为半径,即可确定C的位置。

图6-7 用绳子测定划印器臂长

A-主梁下方与坐标对应点 B-工作幅宽 C-左侧划印器圆盘的划线位置 C-右侧划印器圆盘的划线位置 D-左侧开沟器之外半个行距之点 D-右侧开沟器之外半个行距之点 b-行距 ↑-机车坐标点

(四)播种作业中的注意事项及安全规则

1.注意事项

(1)播种前,应把种子和肥料放在地头适当位置,以节省添种上肥的时间,提高作业效率。

(2)播第一趟时,应选择好开播地点(一般在一块地的一边),要在驾驶员的视线范围内插好标杆或找好标志,力求开直,便于以后用机械进行中耕作业。播种的行走路线,一般采用梭形播法(图6-8)。

图6-8 梭形播法

(3)播种时,应经常观察排种器、排肥器和传动机构的工作情况。如果发生故障,应立即停车排除,以免“断条”缺苗。

(4)经常观察和检查开沟器、覆土器、镇压器的工作情况,如开沟器和覆土器是否缠草和壅土;开沟深度是否一致和合适,以及种子覆盖是否良好等。

(5)地头或田间停车时,为了不扔地头和出现缺苗“断条”现象,应将播种机升起,后退一定距离,再继续播种。下落播种机时,要在拖拉机缓慢前进时降下。

(6)播完一种作物,要认真清理种子箱,严防种子混杂而造成排种故障。

(7)化学肥料多数对金属有腐蚀作用,因此,肥箱使用后应及时清理,以免锈蚀。

2.播种作业的安全规则

(1)严禁在播种作业时进行调整、修理和润滑工作。

(2)带有座位或踏板的悬挂播种机,在作业时可以站人或坐人,但在升起转弯或运输时禁止坐人或站人。

(3)开沟器入土后不准倒退或急转弯,以免损坏机器。

(4)不准在左、右划印器下站人和机组前来回走动,以免发生人身事故。

(5)工作部件和传动部件粘土或缠草过多时,必须停车清理,严禁在作业中用手清理。

(6)播拌药种子时,工作人员应戴风镜、口罩与手套等防护用具。播后剩余种子要妥善处理,严禁食用,以防人畜中毒。

(7)夜间播种必须有良好的照明设备。

(五)保养和保管

对播种机进行正确的保养和保管,是提高作业质量、充分发挥播种机效能和延长机具使用寿命的重要措施之一。因而除平时注意检查机具的技术状态外,在每班作业后或全部播种结束后,都应做好保养和保管工作。

1.播种机的保养内容

(1)检查各部件紧固情况和变形损坏情况,松动件应及时拧紧,变形件应予以校正,损坏件应修复或更换。

(2)清理播种机表面的尘土和油污。

(3)对各润滑点要进行润滑,加足润滑油。

(4)检查传动机构的链条紧度是否适当,各链轮是否在同一平面内,如不正常应及时排除。

(5)检查各排种器排肥器工作长度是否相等,其偏差不大于0.3mm,排种舌与排种轮之间的间隙应一致。

(6)检查各开沟器距离是否相等,偏差不大于5mm。

(7)检查输种(肥)管是否齐全和有无变形或损坏。

(8)检查机架和开沟器有无变形和弯曲,机架应成矩形,对边平行度偏差应不大于5mm,对角线偏差不大于10mm,开沟器梁弯曲度不得超过10mm。可用拉线方法检查。

(9)地轮应成正圆形,其轴向和径向摆差应不大于10mm,轴向间隙不超过15mm,可将地轮支起并转动测定。

各种不同型号的播种机,其保养内容和周期也不一样,具体实施可按播种机出厂说明书进行。

2.播种机的保管

(1)清除机具上的尘土、油污及种肥箱内的种子及肥料等杂物。

(2)对开沟器、齿轮、链轮及链条,要用柴油清洗并涂防锈剂。对圆盘式开沟器清洗后应涂油并正确装配后放入库内。

(3)清洗全部轴承并进行润滑。对含油轴承(套)可用机油或锭子油擦洗,绝不可用轻质油料,否则会损坏含油轴承(套)的自身润滑性能。

(4)放松开沟器挺杆弹簧和其他压缩弹簧。

(5)对备用件、易损件、胶质输种管等应入库保管。

(6)将播种机置于避风无积水的干燥农具棚内。对芯铧开沟器在保管时,应使之落地并垫上木板。

(7)掉漆处应及时涂漆防锈。

随便看

 

离鸟网收录3541549条中英文词条,其功能与新华字典、现代汉语词典、牛津高阶英汉词典等各类中英文词典类似,基本涵盖了全部常用中英文字词句的读音、释义及用法,是语言学习和写作的有利工具。

 

Copyright © 2004-2024 vtrois.com All Rights Reserved
更新时间:2026/4/20 11:46:57