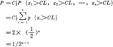
主要根据是概率论中的“小概率原理”:小概率事件在一次实现中是不可能发生的。在控制图中,“小概率”一般不超过2%,如果那么小概率的事件竟然发生了,就可判断生产过程处于异常状态。例如,在控制图中有n点出现在中心线(CL)同一(上或下)侧的概率,可由此计算:对每个点落在中心线的上侧或下侧的概率是:

故n个点后同落在CL的上侧或同时落在CL的下侧的概率,用二次分布公式可得:

容易得到:n=5时,P=6.26%;n=6时,P=3.12%;而n=7时,P=1.56%<2%,就算为小概率事件了。也就是说,如果连续7点同落在CL的某一侧,生产过程可判为异常。用类似的办法,可以计算出判断生产过程为异常的各种情况,均为小概率事件。