网站首页  词典首页


请输入您要查询的字词:

 

字词 排风机
类别 中英文字词句释义及详细解析
释义

排风机


3.6.1 选择排风机的原则

(1)风量

计算集尘装置和气体处理装置所需排气量,据此决定风量。风量太大不经济,还会使集尘装置以及气体处理装置的性能受到影响。

(2)静压

计算上述风量经过的通道,包括吸尘罩、通风管、集尘装置的总阻力。静压比总阻力稍高即可。同时,还要注意吸气位置与排气位置的高低差,不要忘记修正位置压力(1.2毫米H2O)。如果静压太大,不仅使集尘率降低,还会使电机超负荷。

(3)排风机的安装位置

用于集尘、排气的排风机原则上安装在整个装置的最后部,这样才能保持整个装置负压。即使万一排风管道出现漏孔,粉尘及有害气体也不会外漏。要检查经过排风机的气体中有无异物混入,并要事先准备好异物混入的对策,例如:粉尘、损耗性粉尘、粗大异物、腐蚀性气体、易燃易爆气体等混入。

(4)型式

排风机种类较多,要根据风量、静压、是否有异物混入等条件,选定最合适的类型。

(5)动力

计算所需动力,考虑到用于此目的电动机的使用状况,最好留出20~25%的余地。

3.6.2 送风机与压缩机的区别

送风机与压缩机的区别见表3-18。

表3-18 送风机与压缩机的区别

试验用小型风洞示于图3-62。

图3-62 试验用小型风洞

3.6.3 排风机种类

(1)离心型

①涡轮排风机——叶片数12~24个,效率为60%~85%,合适的静压为2~10千帕斯卡(kPa)(多级式为10~100)。其特点是效率高,在风量和静压同等水平时,噪声最小,阻力变化时,风量变化小,适于集尘,其示意图见3-63。

图3-63 叶片形状

②片型(径向式)排风机——叶片数6~12个,效率为50%~60%,合适的静压为0.5~3千帕斯卡。其特点是阻力变化时风量的变化大。叶片结构简单、结实,适于处理含尘气体,其示意图见3-64。

图3-64 叶片形状

③限制杆排风机——叶片数12~24个,效率为50%~60%,合适的静压为2千帕斯卡以下。其特点是在套管式吸入部分安装有放射状固定导向叶片,运转时可减小阻力。旋转气流能够限制风量的增加,所需动力因此不会超过某一限度(其示意图见3-65)。

图3-65 叶片形状

④多叶片排风机——叶片数36~64个,效率为40%~55%,合适的静压为1千帕斯卡以下。其特点是风量变化时,静压变化小,适于向多个分支通风道送、排风;低静压、大风量(其示意图见3-66)。

图3-66 叶片形状

(2)轴流型

轴流排风机——叶片数4~8个,效率为30%~60%,合适的静压为0.5千帕斯卡以下。其特点是可用于低压。当需要大风量时,其缺点是噪声大(其示意图见3-67)。

图3-67 叶片形状

(3)容积型

罗茨通风机——叶片数2个,效率为60%~90%,合适的静压为100千帕斯卡。其特点是静压变化时,风量基本不变化,由于可得到高压,故适用于粉末的空气动力运输(其示意图见3-68)。

图3-68 叶片形状

3.6.4 排风机的一般性能

排风机的一般性能,见表3-19。

表3-19 排风机的一般性能

3.6.5 送风机联合运转

(1)并联运转

两台送风机并联运转时,则成为压力相等点空气量之和。因此,根据FanA、FanB各自的特性曲线作图,可以得到并联运转的特性曲线。

因为送风机的运转点是阻力曲线与特性曲线的交点,阻力曲线不动则风量大,阻力曲线变化时,风量基本不增加。但是,无论怎样,两台送风机并联运转都达不到它们的能力之和。因此,如果真需要两机并联运转,则需重新设计较粗的管道,必须做到阻力曲线达到其风量之和。

(2)串联运转

两台送风机串联运转时,则变成风量相同点的压力之和。与并联运转一样,作图可得出联合压力曲线。这时,阻力曲线越大,风量增加越少。如果希望增加风量,则必须选择并联或串联运转之一。

阻力曲线c:阻力曲线为c时,无论哪种运转方式,气体进量的增加是相同的。但是,从轴动力来看,并联运转时,动力相当于JA、JB;而串联运转时,动力相当于GA、GB。因此,并联运转所用动力较少。

阻力曲线b:阻力曲线为b时,并联运转较好。

阻力曲线a:阻力曲线为a时,串联运转的风量变大。在联合运转时,要研究联合压力曲线和阻力曲线,以决定用并联或串联方式,同时还要考虑动力问题。

使用两台同样性能的送风机时,问题较少。使用两台性能有很大差别的送风机联合运转时,事前要进行充分的调查研究。

三台以上的机器联合运转时,与上述道理一样,可以求出特性曲线。

送风机联合运转曲线示于图3-69。(图中电阻曲线应更正为阻力曲线)

图3-69 送风机联合运转

3.6.6 空气1立方米/秒时的动力

空气1立方米/秒时的动力见图3-70。η:风机效果

图3-70 空气1m3/min时的动力(η:送风机效率)

3.6。7 风量、静压、排风机轴动力、电动机关系

风量、静压、排风机轴动力、电动机关系见图3-71。

图3-71 风量、静压、排风机轴动力、电动机关系(涡轮排风机常温运转)

3.6.8 高温运转排风机运转时的压力

高温运转排风机运转时的压力见图3-72。

图3-72 高温运转排风机运转时的压力

温度上升时,气体体积膨胀,质量不变,密度下降。排风机的处理体积是不变的,所以,即使温度发生变化,风量基本不变。但是,压力变动与密度变化成比例,所以,温度上升,压力会下降。

看图3-72可知,取横轴的常温压力,可在纵轴上得到高温时的换算压力。另外,排风机的轴动力与(风量×压力)的结果成比例,所以,如果温度上升,则轴动力下降。

在高温下运转的排风机与风量、压力和轴动力有关,不仅如此,还应注意它的结构。如果气体中不含腐蚀性物质,其结构要求如下:

材料:温度在250℃以下时,可用普通钢;如果高于此温度,应使用不锈钢系列的材料。

轴承:温度在100℃左右,可用空气冷却轴承;超过150℃时,采用水冷轴承。另外,还应使用耐热的润滑剂。大型排风机要使用带有油冷却器的油浴器式或强制润滑式的。

3.6.9 经过耐腐蚀处理的排风机

经过耐腐蚀处理的排风机见表3-20。

表3-20 经过耐腐蚀处理的排风机

3.6.10 排风机的环氧树脂衬层

排风机环氧树脂衬层见图3-73。

图3-73 用环氧树脂衬层

(1)环氧树脂

①耐药品性能:耐碱、酸,不耐氧化性的酸、漂白剂。

②耐热性能:经常接触液体的部分为70℃,接触气体的部分在100℃以下。

③机械强度:能与软钢、轻合金很好地粘合。如果在衬层时,用玻璃纤维辅助加强一下,其抗冲击性会更好。在既要求化学强度又要求机械强度的部分,使用环氧树脂衬层,能够保持材料的原有强度,又可明显改善其化学性质。

(2)用衬层的排风机

①结构;需事先做好设计,叶轮要有很好的动态平衡能力。衬层已装到机器上以后,发生不平衡时,可用环氧树脂加厚进行调整。

②气孔检查:将高压电加在原素材上,根据电晕放电原理检查气孔。

③组装:将叶轮安装在轴承上,然后用环氧树脂完全覆盖紧固螺栓。

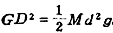
3.6.11 飞轮效果(GD2)

起动排风机时,电机要将很重的叶片从静止状态慢慢地带动起来,达到正常转速后,进入稳定运转。一般情况下,电机输出要根据稳定运转时所需动力而定。实际上,叶片以静止状态至稳定运转的过渡期,必需给叶片以运动能。

排风机叶片惯性很大,特别是大型机器,因此,不能忽视这个能量。这种惯性能量被称为“飞轮效果”,用GD2表示。如果GD2大,由于运动能量积蓄或放出,在电机起动、停止时会慢一些,所以,需要合适的起动转矩。如果是55kW以上的大型排风机,要根据电机轴换算的GD2决定电机的叶轮数目。如果是小型排风机,可使用一般电机,但起动时间长于其它机器,因此应注意起动方法。

GD2是根据旋转体的形状和质量计算出的固定值,与物理学的惯性力矩有同样的意义。

GD2=4gI

式中 g——重力加速度(m/s2);

I——惯性力矩(kgm2)。

3.6.12 GD2的计算方法

(1)圆板(图3-74)——直径d、质量M、重力加速度g,

图3-74 轴的位置

(2)圆柱(图3-75)——直径d、长度l、质量M,

图3-75 轴的位置

(3)矩形板(图3-76)——边长a、b,

图3-76 轴的位置

(4)矩形板(图3-77)——边长a、b,

图3-77 轴的位置

(5)圆环(图3-78)——外径d1、内径d2

图3-78 轴的位置

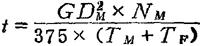
3.6.13 GD2换算与起动时间

将排风机的(GD2F)换算为电机轴(GD2M)时,采用下式:

式中 NF——排风机转数;

NM——电机转数。

G的电机起动时间用下式表示:

式中 t——起动时间(s);

NM——电机转数(rpm);

TM——电机起动转矩(kgf·m)(kg·m);

TF——排风机转矩(kgf·m)(kg·m)。

3.6.14 排风机尺寸与GD2

排风机尺寸与GD2见图3-79、图3-80。

图3-79 排风机尺寸与GD2(a)

图3-80 排风机尺寸与GD2(b)

注:叶轮外形尺寸=150×排风机尺寸

3.6.15 通用电动机允许的GD2概算

通用电动机允许的GD2概算见图3-81。

图3-81 通用电机允许的GD2概算

3.6.16 排风机噪声计算

排风机噪声计算见图3-82。

图3-82 排风机噪声计算图

注:排风机噪声计算图使用说明——排风机的静压根据纵轴、风量、横轴求出。在交点上引出与此图标准线平行的直线,求出与右纵轴的交叉点,据此加长在横轴上的平行线。在这条直线与右下方直线群(根据排风机类型选择)的交点上方可求出噪声水平(dB-A)。

3。6.17 涡轮风扇发动机的排列顺序与性能

涡轮风扇发动机的排列顺序与性能见图3-83。

图3-83 涡轮排风机叶片顺序与性能(1450rpm)

3.6.18 高压涡轮风扇发动机的排列顺序与性能

高压涡轮风扇发动机的排列顺序与性能见图3-84。

图3-84 高压涡轮排风机叶片顺序与性能(1450rpm)

随便看

 

离鸟网收录3541549条中英文词条,其功能与新华字典、现代汉语词典、牛津高阶英汉词典等各类中英文词典类似,基本涵盖了全部常用中英文字词句的读音、释义及用法,是语言学习和写作的有利工具。

 

Copyright © 2004-2024 vtrois.com All Rights Reserved
更新时间:2026/4/21 19:41:51