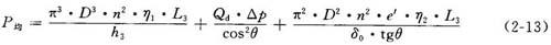
按熔体输送理论,螺杆均化段所需要消耗的功率可用下式表示:

式中字母含义同式(2-9)。
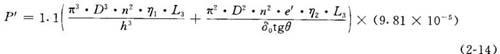
螺杆所需要的总的功率(kW)可用下列公式计算:

式中字母含义同式(2-9)
P总=3P′PVC (2-15a)
P总=2P′PE (2-15b)
P总=1.5P′ps (2-15c)
以上几个公式是理论上计算公式,以下有两个经验公式也很有用:
P总=0.00354D2n (2-16a)
P总=0.00800D2n (2-16b)
式(2-16)中,D的单位为cm,n的单位为r/min。公式(2-16a)适用于螺杆直径小于90mm的挤出机,公式(2-16b)适用于螺杆直径大于等于90mm的挤出机。
不同资料有不同的经验公式,在此不逐一列出。