网站首页  词典首页


请输入您要查询的字词:

 

字词 指数曲线法
类别 中英文字词句释义及详细解析
释义

指数曲线法


抽取批相关的数对(y1,t1),(y2,t2)…(yn,tn),并将每个数对作为一个坐标,在平面直角坐标系中描出相应的点(即散点图)。如果点子的趋势呈随t增加而y迅速增加的状态,可以认为是一条指数曲线:

y-aekt(或y=abt)

式中t为时间,a,k为常系数。然后对上式两边取自然对数,得:

1ny=1na+kt

作变换:Y=1ny,A=1na,B=k,T=t,便得到线性回归方程:

Y=A+BT

利用最小二乘法,解出。再利用解出,就可得到预报用的指数曲线:

接着将t1,t2,…,tn代入,得到的回报值:并求出与实测数据的均方差:

s值越小越好。

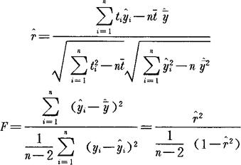
相关性检验,可以用相关系数检验或F检验法。计算公式是:

以上两公式中的数据,要使用变换后的数据,而不是实测数据。然后查相关系数检验表或F检验表(这里的第一自由度为1,第二自由度为n-2),判断其相关关系的显着程度。

诚然,在实际应用中往往需要选若干种类曲线来计算,然后比较他们的回报均方差S。一般来说,S值越小,对应的曲线方程预报更准确。确定了预报曲线方程后,就可将预测的t值逐一代入方程,计算出相应的值即可。

随便看

 

离鸟网收录3541549条中英文词条,其功能与新华字典、现代汉语词典、牛津高阶英汉词典等各类中英文词典类似,基本涵盖了全部常用中英文字词句的读音、释义及用法,是语言学习和写作的有利工具。

 

Copyright © 2004-2024 vtrois.com All Rights Reserved
更新时间:2026/4/20 11:52:58