网站首页  词典首页


请输入您要查询的字词:

 

字词 报价方法在系列产品订价中的应用
类别 中英文字词句释义及详细解析
释义

报价方法在系列产品订价中的应用


为系列产品中新规格产品迅速报价,是企业经营管理的一项重要工作。所谓系列产品,就是指同一个品种有很多不同规格的产品。生产系列产品的企业在接受订货时,可以根据以往生产过的老规格产品的价格,为未曾生产过的新规格产品快速报价。同时,用户也可用以确定可以接受的价格。本例介绍的方法,同样也可用来确定向产品设计部门提出新产品的目标成本。

对系列产品采用的这种报价方法,最初用于大型化工设备,以后则逐渐用于其他产品的报价。

一、系列产品价格曲线

系列产品的材料成本与产品规格成正比或比较接近的比例。但由于不同规格产品的加工复杂程度相同或基本相同,工费成本往往差距不大。所以,价格虽然随规格的增大而递升,但并不成正比,一般以小于规格的变动率递升。材料成本的比重越大,价格的递升率也往往越大:反之,则越小。其关系如下图所示:

系列产品的这种价格曲线,同Y=Xn(1<n<1)幂函数曲线极为相似。因此,可以利用幂函数作为估计系列产品价格的基础。

二、指数n值的确定

为各种不同系列产品估价所用的指数n的值,高低不一。材料成本比重较大的产品,其n值也较大;反之,则较小。大部分系列产品的n值均在0.6左右,因此这种估价方法通常称为0.6指数法。

市场上只要已经有一种系列产品的两个不同规格的产品价格,便可据以按下式计算这种系列产品的n值:

式中:PA为A规格产品价格;

PB为B规格产品价格;

SA为A产品规格的特征值;

SB为B产品规格的特征值。

这个公式就是Y=Xn这个幂函数式的另一种表现形式。其PB/PA相当于Y,SA/SB相当于X。

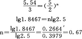
例:某种化工设备两种规格的市价如下:

化工设备规格 成套价(百万元)

年产量2千吨 3

年产量5千吨 5.54

代入上列公式,n值即可计算如下:

在西方一些工业化国家,很多系列产品估价所用的n值早已算出列表,各公司可以参考采用。当制造某种系列产品所用的原材料和生产技术等发生变动时,应按上述方法重新计算该种系列产品新的n值。

指数n值除了可以根据两个老规格产品的价格计算之外,也可以根据已知的两个老规格产品的单位成本(CA、CB)计算。这时,应将上列公式中的PB/PA换为CB/CA

三、新规格产品的估价

为系列产品中某一新规格产品估价时,要根据某一老规格产品的价格,按下列公式计算:

式中:P为新规格产品价格;

P0为老规格产品价格;

S为新规格的特征值;

S0为老规格的特征值。

例:资料已如前述,现根据年产量2千吨的化工设备价格,估算年产量1千吨的化工设备价格:

又如,根据年产量5千吨的化工设备价格,估算年产量6千吨的化工设备价格:

用此法估价时,如果同时有几种老规格产品。新老规格越相近,估价越准确。新老规格相差10倍以上时,就不宜采用此法估价。

只要将C/Co代替这个公式中的P/Po,还可用此公式根据老规格产品的单位成品Co,估算新规格的单位成本C。

随便看

 

离鸟网收录3541549条中英文词条,其功能与新华字典、现代汉语词典、牛津高阶英汉词典等各类中英文词典类似,基本涵盖了全部常用中英文字词句的读音、释义及用法,是语言学习和写作的有利工具。

 

Copyright © 2004-2024 vtrois.com All Rights Reserved
更新时间:2026/4/20 2:23:59