网站首页  词典首页


请输入您要查询的字词:

 

字词 抗氧剂
类别 中英文字词句释义及详细解析
释义

抗氧剂


【释文】:

氧存在于我们周围,塑料在其制造、加工、贮存及应用过程中不可避免地要与氧接触。对于大多数塑料品种来说,对氧化降解都有一定的敏感性(见附表1),少量的氧就能使这些高分子材料的强度、外观等性能发生剧烈变化,因此,塑料的防氧化是其环境稳定化中的重要课题,应受到普遍的重视和研究。

塑料的氧化

要全面地了解抗氧剂的效能和作用机理,必须先认识一下塑料的氧化。和其它有机高分子材料一样,在氧化降解中,塑料与氧的反应是一个自动催化过程,反应初期的主要产物是氢过氧化物,其在适当条件下分解生成活性自由基,该自由基又能与大分子烃或氧反应生成新的自由基,这样周而复始地循环,使氧化反应按自由基链式历程进行。以RH代表聚合物分子,整个氧化过程可概括如下。

终止反应

从以上式子可以看出,氧化初期形成的氢过氧化物对氧化反应有自动催化作用,故一般将此氧化过程又称为自动氧化。绝大部分塑料的氧化都是按这一机理进行的。光能和热能既是产生初始自由基的能源,又能够加速氢过氧化物的分解,从而大大加速氧化的进行,因此,根据氧化过程中破坏能量的主要来源,通常又将聚合物的氧化分为热氧化和光氧化等。关于光氧化和光稳定剂已在第三章介绍,本章主要介绍热氧稳定剂,即通常所称的抗氧剂。

一些变价金属离子如锰、铁、钴、镍、铜等,通过电子的转移也可催化氢过氧化物的分解:

氧化过程中,随着在聚合物链上过氧化物和其它含氧基团的形成,将发生大分子链的断裂:

反之,在链终止阶段,自由基的结合又会引起聚合物的交联:

无论是断链还是交联都会给材料的力学性能造成不可逆的恶变,而各种羰基化合物的形成和积累又会引起材料的变色,损害其外观性能。

氧化的防止

综上可知,塑料的氧化始于其分子链上C-H键的断裂,整个氧化过程的速度则取决于这种断裂的难易。关于聚合物结构和氧化的关系已有大量着述介绍,本书不再赘述。很显然,化学键的断裂是无法用外界方法阻止的,因此,要彻底抑制聚合物氧化,只能通过改变其化学结构来实现,即消除结构中的不稳定基团,合成具有内在抗氧性的聚合物。在这方面人们已进行了不少努力,并合成了一些抗氧性优异的新型聚合物,但时至目前,获得实际应用的仅有少数品种。价格昂贵,溶解性过低和软化温度过高所造成的加工困难,大大限制了它们的应用。而且,在利用结构改性方法提高耐氧化性的同时,往往又会失去其它一些宝贵性能,顾此失彼,难以两全。鉴此,对于大多数聚合物来说,采用添加抗氧剂的方法提高其耐氧化性是一条简便有效的途径。

抗氧剂的定义和分类

仅以少量添加于材料中,能够延缓或抑制氧化降解的物质称为抗氧剂。在橡胶工业中习惯将这类物质称为防老剂。

抗氧剂的品种很多,可从不同的角度分类。目前常用的方法是按化学结构分类和按作用机理分类。

1.按照抗氧剂的化学结构可分为如下几类

亚磷酸酯类

硫酯类

其它类

在以上五类中,酚类和胺类是抗氧剂的主体,其产耗量约占总量的90%以上,一般来说,胺类抗氧剂的防护效能比酚类高,但多数胺类品种受光和氧作用后都程度不等地发生变色,有着色和污染之弊,不适用于浅色、艳色和透明制品,因此在塑料中应用较少,主要用于橡胶。考虑到塑料和橡胶在应用上日趋密切的关系,本手册将胺类抗氧剂也尽量收入并加以介绍。

2.按照抗氧剂的作用机理可将其分为如下几类

过氧化物分解剂

金属离子钝化剂

这几类抗氧剂的作用机理将在下节介绍。在实际配方设计中,常把链终止剂称为主抗氧剂,过氧化物分解剂和金属离子钝化剂称为辅助抗氧剂。

此外,根据抗氧剂的毒性大小,可分为有毒性抗氧剂和无毒性抗氧剂;根据抗氧剂的变色和着色性大小,可分为着色性抗氧剂(或称污染性抗氧剂)和非着色性抗氧剂(或称非污染性抗氧剂)。

抗氧剂的作用机理

应当指出,抗氧剂的作用机理非常复杂,许多问题尚未明了,对现象的解释亦常有争议,以下所介绍的是目前比较普遍的一些认识。

1.链终止剂

该类抗氧剂能够与自动氧化反应中的链增长自由基(R·和ROO·)反应,使链式反应中断,故又称自由基抑制剂。根据其抑制自由基的方式可分为如下三种。

(1)氢给予体

这类抗氧剂包括受阻酚和仲芳胺,是目前应用最广泛的一类抗氧剂。它们含有反应性的=NH或一OH基团,能与聚合物争夺自动氧化中形成的过氧自由基,通过氢原子的转移,形成ROOH和一个稳定的抗氧剂自由基(>N·或-O·),该自由基又具有捕捉活性自由基的能力,可以终止链式氧化反应的第二个动力学链。以HI表示氢给予体,抑制过程可表示如下:

IH+ROo·→ROoH+I·

IH+R·→RH+I·

I·+ROo·→RooI

I·+I·→I2

(2)自由基捕获剂

这类抗氧剂能够与自由基反应,形成不再引发氧化反应的稳定产物,醌类抗氧剂的作用方式即属此类。

前已述及,氢给予体释放出氢原子中断活性链后,生成的稳定性自由基也具有捕获自由基的能力。在光稳定剂一章中已介绍的受阻胺类化合物,其抑制光氧化的机理也是捕捉自由基(见第三章)。

(3)电子给予体

一些叔胺抗氧剂能够向活性自由基提供电子,使其成为低活性的负离子,从而中断链式氧化反应:

(抗氧剂)

这一机理的提出主要用于解释不含活泼氢的叔胺的抗氧机理,但还缺乏充分证据,有待深入研究。也有人提出这类化合物的抗氧机理是氮原子相邻碳原子上的氢与自由基反应,按照施氢机理发挥效用。

2.过氧化物分解剂

这类抗氧剂主要包括亚磷酸酯类和有机硫化物类,它们能够将氢过氧化物分解成不活泼产物,抑制其自动催化作用。例如:

亚磷酸酯类:

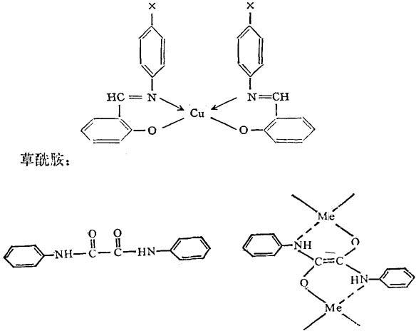
3.金属离子钝化剂

这类抗氧剂包括各种向心配位体,如双水杨叉二胺、草酰胺等,它们能够与变价金属离子络合,将其稳定在一个价态,从而清除这些金属离子对氧化的催化活性,例如

双水杨叉二胺:

这类抗氧剂的作用方式可比喻成就像螃蟹用爪子夹持东西一样把金属离子螯合起来,故通常也形象地将其称为螯合剂。

抗氧剂的使用条件

理想的抗氧剂应具备如下使用条件

1.抗氧效能高;

2.无毒,不刺激皮肤;

3.耐热性好,在加工温度下稳定;

4.挥发性和迁移性小,耐(水、油、溶剂及洗涤液等)抽出性高,防护效能持久;

5.与树脂的相容性好,不喷霜;

6.污染性和着色性小;

7.与其它助剂无化学反应;

8.不影响树脂的加工性能和其它性能;

9.价格低廉。

当然,对于一种抗氧剂来说,不可能全部满足上述所有要求,在选用时应根据制品的使用环境,从多方面权衡,既要保证主要的性能要求,又要兼顾到其它性能。

高分子量抗氧剂和反应性抗氧剂

抗氧剂的耐久性是其主要的性能指标,也是现在抗氧剂研究中的重要课题。有些抗氧剂虽然有良好的抗氧能力,但由于挥发、迁移、喷霜和抽出等作用,往往容易从聚合物中损失掉,不仅使聚合物失去了必要的防护,而且带来环境污染和致毒危险,经济上也不合算。近年来为了提高抗氧剂的耐久性,发展了高分子量抗氧剂和反应性抗氧剂,简要介绍于下。

高分子量抗氧剂

增大分子量是提高抗氧剂耐久性的重要途径。所谓高分子量抗氧剂只是相对于普通分子量较低的抗氧剂而言,两者之间并无明确划一的界限。从近年来已经商品化的高分子量抗氧剂来看,化学结构上可大致分为两类,一类是结构复杂,但分子量不是太高(只比普通抗氧剂高2~3倍)的化合物,亦可称作大分子抗氧剂,例如Irganox1010、Good-Rite-3114、Iomox330、Plastanox1729、Sekanox201等。这类抗氧剂中除具有抗氧基团外,还带有庞大的辅助部分以增大分子量,但辅助部分不可过大,否则活性基团的数目就会相对减少,而且有时还会影响到与聚合物的相容性。一般认为,这类抗氧剂的分子量在500~1000之间为宜。

再一类高分子量抗氧剂是结构比较简单、分子量较高的化合物。它们系由带抗氧基团的单体聚合而成,亦称齐聚物型抗氧剂。这类抗氧剂目前尚处研究阶段,商品化品种很少。

反应性抗氧剂#

反应性抗氧剂也可称键合型抗氧剂,它们带有反应性基团,能与聚合物反应,以化学键与之相连,这样就可大大提高其耐迁移、耐挥发和耐抽出性,长期保持防护效能,故又有永久性抗氧剂之称。

将抗氧剂键合到聚合物分子上有三类方法,一是加工键合,即在热成型过程中使抗氧剂与聚合物反应;二是共聚键合,在合成过程中将抗氧剂作为单体与聚合物单体共聚;三是接枝键合,先将聚合物分子改性,使其带有反应性官能团(已带有活性基团的聚合物可直接使用),然后与抗氧剂分子接枝键联。

目前,键合型抗氧剂已有商品出现,例如“Nocrac G-1”,但还仅限于用在不饱和聚合物中。

随便看

 

离鸟网收录3541549条中英文词条,其功能与新华字典、现代汉语词典、牛津高阶英汉词典等各类中英文词典类似,基本涵盖了全部常用中英文字词句的读音、释义及用法,是语言学习和写作的有利工具。

 

Copyright © 2004-2024 vtrois.com All Rights Reserved
更新时间:2026/4/21 12:38:56