别名 维生素C钠
编码 GB 16.000;INS 301
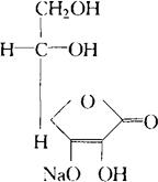
化学结构

C6H7NaO6 相对分子质量 198.11
性状 白色至微黄白色结晶性粉末或颗粒,无臭,味稍咸。分解温度218℃,干燥状态下较稳定,遇光则颜色加深,吸潮后及在水溶液中缓慢氧化分解。比抗坏血酸易溶于水(62g/100mL),10%水溶液pH约7.5。
制法 将抗坏血酸与碳酸氢钠反应后精制而成。
质量标准

鉴别方法 本品呈现抗坏血酸与钠盐反应。
1.抗坏血酸反应 见L-抗坏血酸鉴别方法。
2.钠盐反应 见酸度调节剂碳酸钠鉴别方法。
毒理学依据
1.LD50 大鼠口服大于或等于5g/kg(bw)。
2.GRAS FDA-21CFR 182.3731。
3.ADI 0~15mg/kg(bw)(FAO/WHO,1994)。
使用 维生素强化剂、抗氧化剂。
1.使用注意事项
(1)本品1g的生理作用相当于0.9gL-抗坏血酸。
(2)本品比抗坏血酸易溶于水,且无酸味,使用方便。
(3)本品具还原性,有抗氧化剂及护色作用。
2.使用范围及使用量 同L-抗坏血酸。用量乘1.12。