网站首页  词典首页


请输入您要查询的字词:

 

字词 技术经济工作一般程序
类别 中英文字词句释义及详细解析
释义

技术经济工作一般程序


技术经济工作程序大致分为五个步骤,如图8-1所示。

图8-1 技术经济工作程序

1.建立各种可能的技术方案

所谓可能的技术方案,是指在考虑各种技术方案时,既不能把实际可能的方案漏掉,致使技术方案的最优选择可能不是实际上的最优方案;也不能把实际上不存在或不可能实现(或不能如期实现)的技术方案,作为客观可能存在和实现的技术方案去进行经济比较,致使技术方案的经济比较和选择缺乏可靠的基础。概言之,无论哪种技术方案均要切实可行。

2.分析每一个技术方案的优缺点

无论是哪个技术方案不可能是完美无缺的,对每个方案都要进行优缺点的分析。分析应着重考虑:一是从国民经济整体利益出发;二是各种技术方案实施后,对内外部各种自然、技术、经济、社会等方面可能产生的影响;三是分析各种技术方案的制约因素。总之,在进行方案优缺点分析时,切忌主观、片面和感情用事,要全面、公正、客观的进行分析。

3.建立各种技术方案的数学模式

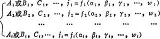
一般来说,各种技术方案的数学模式,都以函数表示。假设:

技术方案数目有:1,2,3,…,i;

技术方案经济指标:A,B,C,…,j;

技术方案参变数:x1,x2,x3,…,xk

影响经济指标的技术经济参变数:α,β,γ,…,w;

第一公式:

适用范围:厂址的选择,原材料和燃料动力种类的选择,加工工艺和设备种类的选择,各种建设方式的选择等。

第二公式:

A或B,C,…,j=f(x,α,β,γ,…,w)

适用范围:各种技术参数的最优选择,如管道的经济保温厚度的选择,各种管道的经济压降和流速的确定,电力导线经济截面的选择等。

在建立技术经济公式和数学模型时,必须根据需要,正确得选用经济指标和参变数来作为主要的经济指标和主要的参变数。

4.计算求解经济公式和数学模型

经济公式的求解目的,是求经济指标获得最大值(如经济效果指标)或最小值(如费用指标)。其方法可采用列表和图解法,也可用数学分析法。对于资料和数据的处理要采用数理统计和概率论的方法。

5.技术方案的综合评价

这一程序是对技术方案在技术经济、政治、国防、社会、环境生态、自然资源等方面的优缺点进行综合分析、论证和评价,最后选出综合效益最佳的技术方案。

经过上述五个程序后,根据评价的结果,对最初建立的方案进行修改和补充,然后再按照上述五个程序进行一次重复。经过1~2个循环以后,最后确定的方案,可称之较好的方案。

随便看

 

离鸟网收录3541549条中英文词条,其功能与新华字典、现代汉语词典、牛津高阶英汉词典等各类中英文词典类似,基本涵盖了全部常用中英文字词句的读音、释义及用法,是语言学习和写作的有利工具。

 

Copyright © 2004-2024 vtrois.com All Rights Reserved
更新时间:2026/4/20 5:15:43