网站首页  词典首页


请输入您要查询的字词:

 

字词 手工电弧堆焊工艺
类别 中英文字词句释义及详细解析
释义

手工电弧堆焊工艺


1.根据堆焊件工作要求选择堆焊焊条

根据焊条类型确定焊机类型、极性及接法。若选用的焊条“D×××”.末位数字2(钛钙型)、6(低氢型)、3(钛铁矿型)时,推荐用直流反接进行堆焊。这样可以获得较高的熔敷速度和高质量的堆焊层,而且稀释率也较低。若选用的焊条末位数字为8(石墨型)的堆焊焊条,推荐用直流正接。这种焊条也可以用交流电施焊,但电弧稳定性较差。

2.焊前准备

清理堆焊表面,烘干焊条,烘焙温度和时间应按焊条使用说明书中规定程序进行。一般酸性焊条150℃烘0.5~1h。碱性焊条250~350℃烘1~2h。

3.工艺参数的选择及调节

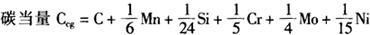
焊接工艺参数及焊接条件的变化,对堆焊质量均有明显影响。如焊接电流、电压、焊速、运条方式、焊接顺序、弧长、搭边量,对稀释率都有影响。预热、缓冷可以改善裂纹倾向。焊接电流增大、弧长增加,使合金元素烧损增加。正确的焊接顺序,能够减少变形。向后焊(焊条向前倾,电弧向后吹),可以减少气孔,增加熔合。焊有开裂倾向的碳钢和低合金钢时,防止开裂和剥落的有效方法是预热和缓冷。预热温度高低,与堆焊材料的碳当量,与工件的材质、大小,与堆焊部位的刚度、堆焊的面积等有关。堆焊材料的预热温度与材料的碳当量关系如表9-34所示。材料碳当量的计算方法如下式:

当焊件与堆焊材料要求的预热温度不一致时,取高的预热温度。若预热有困难时,可采用过渡层,即用延伸性好的低碳钢或不锈钢焊条,先堆焊一过渡层,再在过渡层上堆焊所需的材料。

表9-34 堆焊材料碳当量与预热温度的关系

4.各种类型焊条、手弧堆焊规范(表9-35)

表9-35 不同类型焊条、手弧堆焊参考规范

随便看

 

离鸟网收录3541549条中英文词条,其功能与新华字典、现代汉语词典、牛津高阶英汉词典等各类中英文词典类似,基本涵盖了全部常用中英文字词句的读音、释义及用法,是语言学习和写作的有利工具。

 

Copyright © 2004-2024 vtrois.com All Rights Reserved
更新时间:2026/4/20 14:14:12