网站首页  词典首页


请输入您要查询的字词:

 

字词 我国簿板钢材需求量预测-时间序列法
类别 中英文字词句释义及详细解析
释义

我国簿板钢材需求量预测-时间序列法


随着我国国民经济的发展,工业(特别是轻工业)、农业、交通运输、商业等各部门对薄板钢材的需求量越越来越大。因此,薄板在国民经济中占据的地位越来越重要,它对促进生产发展、提高人民生活、加速实现四化起着十分重要的作用,薄板消费量成为衡量一个国家消费水平的重要标志。而我国薄板的生产能力不够大,产量不够高,供不应求的矛盾日益突出,因而国家每年不得不花掉数亿美元的外汇,进口百万吨以上的薄板钢材。今后在新的历史时期,国家要重点加快农业、轻工业、能源、交通的发展,再考虑到人民生活水平的提高,可以想象得到,对薄板的需求量将会大大增加,面对日益增长的需求,国家不得不在薄板生产上考虑采取相应的措施。因此,将来的消费量到底有大,增长速度有多高,做一个比较合理的预测,为计划工作者提供一个参考,就显得十分必要和迫切了。

历年来薄板钢材消费情况见表1。

表1

将历年消费量以图表示可以看出大概趋势,见图1。

图1 薄板钢材消费量示意图

从上图看出薄板消费量总的趋势是上升的,而且越来越快。1958年到1961年和1966年到1971年反映了大跃进和“文革”两个不正常的时期,1977年粉碎“四人帮”以后,消费量增加较快。根据样本资料和示意图,我们选择不同的方法进行预测,并将其结果加以分析对比,最后选择合理的预测结果。

根据样本的特点,可以分为三种类型:

①综合型,即按1954~1981年全部数据进行预测。

②剔除型,即剔除1958~1961,1966~1970年不正常时期的数据。

③稳步发展型,即按1971~1981年较为稳步发展的11组数据进行预测。

这里主要采用如下几种预测法。

(1)用自回归法预测

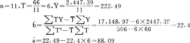
这里把消费量仅看作随时间而变化,并假定二者呈现线性关系。于是可建立以消费量为因变量,时间为自变量的线性关系式,这对稳步型来说比较接近。以Y表示消费量,T表示时间,于是有

Y=a+bT+U U为随机误差

稳步型预测模型建立的步骤如下:

①根据样本数据做如下计算表:

表2

②求回归方程

稳步型预测模型为:=+T=88.09+22.4T对于1985年、1990年、2000年预测的结果,见表3。

表3

(2)用移动平均法预测

移动平均法模拟方程为

Yt+T=at+btT

式中:t-时期;

a、b-t时期的系数;

T-从t期算起预测的时期数;

Yt+T-T期的预测值;

at=2Mt(1)-Mt(2)

bt=bMt(1)-Mt(2)

式中:Mt(1)、Mt(2)-分别为t期的一次移动和两次移动平均数,N-分段数据点数。

列出二次移动平均数据,见表4。表5中移动周期总数N=51981年为t周期,那么根据表中1981年数据可算出

表4

a1=2×287.64-235.94=339.34

于是移动平均法预测模型为

Y1=339.34+25.85T

现在利用模型对1985、1990、2000年进行预测,即将T等于4、9、19的数值分别代入方程,就可得到所要的预测值,见表5。

表5 移动平均法预测结果 单位:万吨

上述移动平均的预测是采用综合型,对剔除型和稳步型,由于它们的后10个数据与综合型相同,所以在N=5的情况下,三者预测模型相同,预测结果一样。

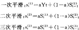
(3)利用指数平滑法预测

指数平滑法的计算公式为:

式中:s(1)t-为第t期一次指数平滑值。

a-加权系数,一般在0.01~0.30之间,根据数据变化

较大时a值应偏高的原则,我们取a为0.3。

Yt-t时期的数据。

各次平滑的初始值取为初期Y值,即17.02。按照上述公式,做出如下指数平滑表,见表6。

表6

指数平滑表(综合型)

二次指数平滑预测模型为

三次指数平滑预测模型

所以三次指数平滑预测模型为:

Yt+T=351.81+33.64T+2T2

根据上述两个模型对1985年(T=4)、1990年(T=9)、2000年(T=19)预测的结果,见表7。

表7

上述预测是采用综合型。二次平滑法是线性方程,其预测结果与时间回归法和移动平均法相差不多。三次平滑模型是一个曲线方程,即向上增加的凹曲线,预测结果偏高。

同理,对剔除型、稳步型、二次平滑的预测结果,见表8。

表8

将上述几方法得到的预测结果列入表9。

表9

表9中列出的6种预测结果中除三次指数平滑预测值以外,其余的5种预测值是非常接近的。即1985年预测值在424~443万吨之间;1990年的预测值在532~572万吨之间;2000年的预测值在760~830万吨之间。所以,我们认为这5种预测结果是比较可靠的。另一方面,从薄板消费量图中看出,消费是随时间而增加,且增加速度越来越快,是一个凹向上的曲线。因此,我们选定这5种预测结果的上限值,即移动平均法的预测结果。合理的预测值拟定为:1985年消费量450万吨,1990年消费量570万吨,2000年消费量830万吨。

随便看

 

离鸟网收录3541549条中英文词条,其功能与新华字典、现代汉语词典、牛津高阶英汉词典等各类中英文词典类似,基本涵盖了全部常用中英文字词句的读音、释义及用法,是语言学习和写作的有利工具。

 

Copyright © 2004-2024 vtrois.com All Rights Reserved
更新时间:2026/4/21 0:05:14