网站首页  词典首页


请输入您要查询的字词:

 

字词 成型工艺设计举例
类别 中英文字词句释义及详细解析
释义

成型工艺设计举例


制订图9-60所示零件的冲压工艺。

图9-60 简体零件图(单位:mm)

(一)拟定筒体成型工艺

此零件是带凸缘的圆筒形拉深件,板厚1.0mm,材料为含碳量低、塑性好的10钢,虽筒深较大,但内外转角均为圆角过渡,并且工件没有公差要求,能达到一般冲压精度即可。因此,该零件的冲压工艺性较好。

根据零件的结构尺寸,参照表9-20确定采用多次拉深和翻边成型工艺,其工序安排为备料、落料(把条料冲裁落料成圆形坯料)、三次拉深、翻边,最后切去凸缘边沿的不整齐部分。其中每次拉深后进行中间工序退火处理,以免产生硬化现象。

凸缘部分与筒体部分同时成型的工序不可取,因筒深较大,用压板压紧坯料边缘拉深易使底部圆角变薄或断裂,所以必须采用最后翻出凸缘的工艺。

(二)计算筒体坯料尺寸

落料后的圆形坯料直径D可按前述公式计算,切边余量可查表9-18。

d凸1=56mm,d凸1/d=56/52=1.08<1.5,取修边余量△h=2.5mm,则d=56+2×2.5=61mm,故圆坯料直径D计算如下:

式中d、r1、r2、h等数值是以板厚的中心线尺寸计算的。

(三)拟定材料排样方式及利用率

由于上述计算得出的是圆形坯料直径,所以其在条料上的排列方式比较单一,但仍有纵横排之分。经分析比较确定将153mm圆坯料,用有接边纵向排样法在条料上排样,既可保证零件质量,又可提高材料的利用率,其排样图如表9-22图示。

根据圆形坯料排列的纵向接边间隙a1=1.5mm,横向接边间隙a2=2mm,从而得出条料宽度B=d+2a2=153+2×2≈157(mm),由于条料是从一般的标准尺寸板材1800mm×1500mm规格上剪下的,所以该条料长h=1800mm,且每一条料面积Bh=157mm×1800mm,可以裁出的圆坯料个数n=1800/154.5=11.6个,实际只能得11个坯料,每个圆坯料面积:

S=πr2=π(154/2)2=18617(mm2)

故材料利用率:

(四)计算中间工序次数和半成品尺寸

1.计算拉深系数

计算拉深系数即确定拉深次数,首先确定坯件拉深前直径D与拉深后直径d的比值m,该值大小取决于坯件拉深次序和坯件料厚t与直径D之比,一般拉深系数m=0.5~0.85,首次拉深时m取较小值。t/D值越大时,m可以取小值,但末次拉深时,由于坯件多次拉深后加工硬化渐趋严重,坯件极易拉裂,因此m应取大值。

图9-60所示零件是先将坯件拉成无凸缘的筒形,再翻边出凸缘,所以可看作无凸缘的筒形件,先计算其拉深系数:

m=d/D=52/153=0.34

再根据t/D×100=1/153×100=0.65,查表9-20确定拉深次数。由于查得m1=0.55,m2=0.78,m3=0.80,且m1×m2×m3=0.55×0.78×0.80=0.34,正好与计算值m相等,所以确定采用三次拉深。

2.计算各次拉深半成品直径d1、d2、d3

(1)第一次拉深直径:d1=D×m1=153×0.55=84(mm)。

(2)第二次拉深半成品直径:d2=d1×m2=84×0.78=65.5(mm)。

(3)第三次拉深修整至成品直径:d3=d坯件=65.5×0.8=52(mm)。

3.计算各次拉深的半成品圆角半径r

根据设计拉深凹凸模的圆角半径,据经验公式按板厚中线位置计算r值:

式中 D——上一次拉深直径(mm);

d——本次拉深直径(mm)。

所以:

第一次拉深半成品圆角半径r1=0.8=6.7(mm)。

第二次拉深半成品圆角半径r2=0.8=3.5(mm)。

第三次拉深半成品圆角半径r3=0.8=3(mm)。

实际上在设计拉深模时,应调整r3为坯件成品的圆角半径,即r3=R=4mm。

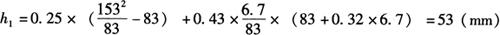
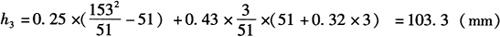
4.确定各次拉深的半成品高度h

据经验公式按板厚中线位置计算:

(1)第一次拉深半成品高度h1

(2)第二次拉深后坯件总高度h2

(3)第三次拉深应调整为坯件成品高度h3

因103.3mm>99.5mm,所以取h3=99.5mm为坯件成品高度,h数值均以板厚中线为基准计算。但作成品工序图时,则以板厚内外边为尺寸基准。

(五)填写冲压工艺过程卡片

填写冲压工艺过程卡片并画出各工序简图,如表9-22所示。

表9-22 筒体冲压工艺过程卡片(mm)

随便看

 

离鸟网收录3541549条中英文词条,其功能与新华字典、现代汉语词典、牛津高阶英汉词典等各类中英文词典类似,基本涵盖了全部常用中英文字词句的读音、释义及用法,是语言学习和写作的有利工具。

 

Copyright © 2004-2024 vtrois.com All Rights Reserved
更新时间:2026/4/18 17:40:13