计算成型后的成型品最终厚度(假设伸展均匀)用下列公式

式中:t1=片材厚度(毫米或吋)
t2=成型品的最终厚度(毫米或时)
A1=片材原始长度(毫米或时)
A2=成型后最终相当的片材长度(毫米或时)
B1=片材的原始宽度(毫米或时)
B2=成型后最终相当的片材宽度(毫米或时)
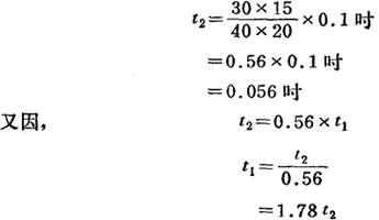
例:
一片材厚度为0.1时,其成型毛坯尺寸为30×15时(亦即,不包括夹着的片材部分)。在成型时,片材被伸展至其长度及宽度相当于40×20时,其成型品的最终公称厚度则为:

因此,对于此种伸展度,片坯厚度应为1.78×最终成型品设计厚度。实践中,由于伸展不匀及(或)局部变薄,必须略增加厚度。