“薄型”钢材,加热温度≤1200℃时,可以按加热炉容许的最大加热速度计算加热时间.计算公式为:

式中 G——钢材质量,kg;
cp——钢材平均热容,kJ/(kg·℃);
A——钢材受热面积,m2;
aΣ——综合给热系数,W/(m2·℃);
tl——炉温,℃;
ts——加热开始时的钢材温度,℃;
tz——加热终了时的钢材温度,℃.
“薄型”钢材,加热温度>1200℃时,按综合辐射传热计算加热时间,而忽略影响不大的对流传热.计算公式为:

式中 σ——导出辐射系数,W/(m2·℃),当加热温度为900~1300℃时,σ=3.5~4.0;当加热温度≤900℃时,σ=2.9~3.5;
Tl——炉温,K,Tl=tl+273;
Ts——加热开始时的钢材温度,K,Ts=ts+273;
T2——加热终了时的钢材温度,K,Tz=tz+273;
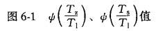
φ——函数(见图6-1).
“厚型”钢材,加热温度≤1200℃时,加热时间的计算公式为:

式中 φm——迟缓加热系数(由图6-2确定).


“厚型”钢材,加热温度>1200℃时,加热时间的计算公式为:

式中 δ——钢坯加热厚度;
K——材料系数(查表6-5);
M——置放系数(查表6-6);
μ——尺寸系数(查图6-3).

图6-2 迟缓加热系数φm

图6-3 根据钢坯长度L与厚度δ确定系数μ
表6-5 材料系数K值

表6-6 置放系数M值
