网站首页  词典首页


请输入您要查询的字词:

 

字词 必需商品
类别 中英文字词句释义及详细解析
释义

必需商品


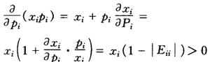
其需求的价格弹性(|Eii|)在数值上小于1的商品。必需商品的需求量xi对其价格变动反应不敏感,当其价格变动率为1%时,其需求量按相反方向的变动率小于1。如果商品i为必需商品,即:

|Eii|<1

则必需商品i的支出与其价格pi按同方向变动,这是因为:

〖参〗奢侈商品

随便看

 

离鸟网收录3541549条中英文词条,其功能与新华字典、现代汉语词典、牛津高阶英汉词典等各类中英文词典类似,基本涵盖了全部常用中英文字词句的读音、释义及用法,是语言学习和写作的有利工具。

 

Copyright © 2004-2024 vtrois.com All Rights Reserved
更新时间:2026/4/18 5:49:05