网站首页  词典首页


请输入您要查询的字词:

 

字词 微晶纤维素
类别 中英文字词句释义及详细解析
释义

微晶纤维素


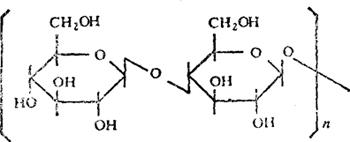
结构式

主要成分 以β-1,4葡糖苷基结合的直链式多糖类。聚合度约为3000~10000个葡萄糖分子。在一般的植物纤维中,微晶纤维素约占70%。

性能 白色细小结晶性粉末,无臭,无味。由可自由流动的、非纤维颗粒组成,并可由自身粘合作用而压缩成可在水中迅速分散的片剂构成。不溶于水、稀酸、稀碱溶液和大多数有机溶剂。可吸水胀润。毒性:ADI不作特殊规定(FAO/WHO,1975)。

用途 用于抗结剂、乳化剂、粘结剂、崩解剂、分散剂、压片剂。药用辅料。也用于农药、化妆品、合成纤维等方面。

包装贮运 内层用防潮纸袋或食品用聚乙烯薄膜袋,外层用麻袋、纸袋或木箱包装。贮存于通风干燥的库房内。注意防潮防晒。

国内生产厂 上海大众制药厂、浙江衢州市试剂厂、辽宁旅顺化工厂。

质量规格(JSCⅠ-Ⅱ;FCC,1981)

随便看

 

离鸟网收录3541549条中英文词条,其功能与新华字典、现代汉语词典、牛津高阶英汉词典等各类中英文词典类似,基本涵盖了全部常用中英文字词句的读音、释义及用法,是语言学习和写作的有利工具。

 

Copyright © 2004-2024 vtrois.com All Rights Reserved
更新时间:2026/4/20 15:26:44