塑料弯曲试验方法详见GB1042-79。
试样尺寸和试验条件见表10-3-2。
表10-3-2 试样尺寸和试验条件

板材厚度小于1mm时,不作弯曲试验,大于10mm时应从一面加工成10mm厚的试样,试验时加工面朝向压头。试验装置如图10-3-2所示。

图10-3-2 弯曲试验装置
1-压头 2-试样 3-支座
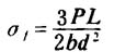
试验时,压头以规定的速度对试样施加静态负荷,直到试样断裂时读取其负荷(非脆性材料读取最大负荷)。按下式计算弯曲强度σf:

式中 σf——弯曲强度(kgf/cm2)
P——最大负荷(kgf)
L——试验跨度(cm)
b——试样宽度(cm)
d——试样厚度(cm)
硬质聚氯乙烯板材的弯曲强度和温度有如下关系(在0~40℃范围内):

式中 σ23——23℃时的弯曲强度(kgf/cm2)
σt——t℃时的弯曲强度(kgf/cm2)
t——试验温度(℃)
11.5——弯曲指数温度修正系数