网站首页  词典首页


请输入您要查询的字词:

 

字词 弯曲模设计
类别 中英文字词句释义及详细解析
释义

弯曲模设计


(一)弯曲件的工艺性

1.最小弯曲半径

弯曲件的圆角半径不宜过大和过小。过大时因受回弹的影响,弯曲件的精度不易保证;过小时弯曲半径处容易产生裂纹。各种材料的最小弯曲半径见表1.2-45,弯曲件的内弯曲半径必须大于表中所列的数值。

表1.2-45 最小弯曲半径 (mm)

注:表列数据用于弯曲中心角≥90°,断面质量良好的情况。

2.最小弯曲直边高度

当弯曲直角时,为了保证弯曲质量,弯曲件的直边高度h必须大于或等于最小弯边高度hmin(图1.2-26),即

图1.2-26 最小弯曲直边高度

h≥hmin=r+2t

3.弯曲件的孔边距

当弯曲有孔的毛坯时,如果孔位于弯曲区附近,则弯曲时孔的形状会发生变形。为了避免这种缺陷的出现,必须使孔处于变形区之外(图1.2-27),从孔边到弯曲边的距离l应符合下式:

图1.2-27 弯曲件的孔边距

当t<2mm时 l≥r+t

当t≥2mm时 l≥r+2t

4.弯曲件的宽度(工艺切口)

窄板弯曲时,变形区的截面形状发生畸变,内表面的宽度b1>b,外表面的宽度b2<b。当b<3t时,尤为明显,如图1.2-28所示。如果弯曲件的宽度b精度要求较高,不允许有图1.2-28所示b1>b的鼓起现象时,应在弯曲线上预先做出工艺切口,如图1.2-29所示。

图1.2-28 弯曲时变形区的宽度变化

图1.2-29 弯曲毛坯的工艺切口

5.连接带和定位工艺孔

在弯曲区附近有缺口的弯曲件,若在毛坯上将缺口先冲出,弯曲时会出现“叉口”现象,不能保证工件质量要求。因此,缺口处应留有连接带,待弯成后,再将缺口处多余部分切除(图1.2-30a)。

图1.2-30 连接带与定位工艺孔

对于弯曲形状较复杂或需要多次弯曲的工件,为了使毛坯在模具内准确定位,以防止弯曲时毛坯偏移而产生废品,应预先添加定位工艺孔(图1.2-30b)。

6.局部弯曲边缘

在局部弯曲某一段边缘时,为了防止在交接处由于应力集中而产生撕裂,必须预先冲卸荷孔(图1.2-31a)或切槽(图1.2-31b),或将弯曲线位移一定距离(图1.2-31c)。

(a)冲卸荷孔

(b)切槽

(c)将弯曲线位移一定距离

图1.2-31 防止弯曲边交接处应力集中的措施

(二)弯曲件的精度

弯曲件的精度与板料的力学性能、板料的厚度、模具结构和模具精度、工序的数量和工序的顺序、工件本身的形状尺寸等因素有关。弯曲件长度的自由公差和角度的自由公差分别见表1.2-46和表1.2-47。

表1.2-46 弯曲件长度的自由公差 (mm)

表1.2-47 弯曲件角度的自由公差

(三)弯曲件毛坯展开长度的计算

弯曲件的毛坯长度,是根据应变中性层在弯曲前后长度不变的原则来计算的。

(1)弯曲半径r<0.5t时,毛坯展开长度的计算(表1.2-48)。

表1.2-48 在r<0.5t的弯曲中,求毛坯展开长度的公式

(2)弯曲半径r>0.5t时,毛坯展开长度的计算(表1.2-49)。

表1.2-49 在r>0.5t的弯曲中,求毛坯展开长度的公式

注:表中x为中性层位移系数,见表1.2-50和表1.2-51。

表1.2-50 中性层的位移系数x值

表1.2-51 卷圆时中性层位移系数x值

对于形状复杂、弯角多和精度要求高的弯曲件,通常采用试验方法确定毛坯的展开长度。具体步骤如下:

①先按上述公式求出毛坯展开长度,并做出毛坯(材料牌号和厚度均按图纸要求);

②将上述毛坯放到弯曲模具上进行试冲;

③对压出的制件进行测量,看其尺寸是否符合图纸要求。如有出入,需根据制件测量结果来修正毛坯尺寸,再做出新的毛坯,重复第②、③步骤,直至压出合格的制件。压出合格制件的毛坯尺寸,就是正确的毛坯展开尺寸。

(四)弯曲模的凸、凹模间隙

弯曲模凸、凹模间隙可按下式计算:

c=t+△+kt

式中 c——弯曲凸、凹模单边间隙;

t——材料厚度;

△——材料厚度正偏差;

k——根据弯曲件高度h和弯曲件宽度b而决定的系数,见表1.2-52。

表1.2-52 系数k的数值

注:表中h、b、t单位为mm。

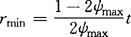
(五)弯曲件变形程度的计算

弯曲件的变形程度用弯曲半径r(或相对弯曲半径)来表示。

其中最小弯曲半径:

式中 ψmax——断面收缩率的最大值;

t——材料厚度(mm)。

(六)弯曲模凸、凹模工作尺寸的计算

(1)凸、凹模宽度尺寸计算见表1.2-53

表1.2-53 弯曲凸、凹模工作尺寸计算

表中 b、b——弯曲凸、凹模宽度尺寸,[b、b]为mm;

c——弯曲凸、凹模单边间隙,[c]为mm;

L——弯曲件外形或内形的基本尺寸,[L]为mm;

△——弯曲件的尺寸偏差,[△]为mm;

δ、δ——弯曲凸、凹模制造公差,采用IT7~IT9级。

(2)凸、凹模的圆角半径与弯曲凹模深度的确定

①凸模圆角半径。若弯曲件的内侧弯曲半径为r,则应取r=r,但不能少于材料允许的最小弯曲半径rmin。如因工件结构上的需要,出现r<rmin时,则应取r>rmin,然后增加一次整形工序,使整形模的r=r。

②凹模圆角半径与凹模深度(表1.2-54)。

表1.2-54 凹模圆角半径与凹模深度 (mm)

V形凹模底部可开退刀槽或取圆角半径r为:

r=(0.6~0.8)(r+t)

(七)弯曲时的压力

(1)自由弯曲力

对V形件:

对U形件:

式中 F——在冲压行程结束时的自由弯曲力(N);

b——弯曲件的宽度(mm);

t——弯曲件的厚度(mm);

r——弯曲件的内弯曲半径(mm);

σb——材料的强度极限(MPa);

k——安全系数,一般取k=1.3。

(2)校正弯曲力

F=A·p

式中 F——校正弯曲力(N);

A——校正部分投影面积(mm2);

p——单位校正力(MPa),其值见表1.2-55。

表1.2-55 单位校正力p值 (MPa)

(3)顶件力或压料力

F=0.8F(N)

(八)弯曲模设计要点

1.弯曲件的工序设置原则

弯曲件的工序设置应根据工件形状的复杂程度、精度要求的高低、生产批量的大小及材料的力学性能等因素进行综合考虑。工序设置的一般原则如下:

①对于形状简单的弯曲件,如V形、U形、Z形件,尽可能一次弯曲成型。

②对于形状较复杂的弯曲件,一般需要两次或多次弯曲成型。多次弯曲时,应先弯外角后弯内角,并使后一次弯曲不影响前一次弯曲部分,以及前一次弯曲必须使后一次弯曲有适当的定位基准。

③弯曲角和弯曲次数多的制件、有孔或有切口的制件等,由于弯曲时容易发生变形或出现尺寸误差,为此,应在弯曲之后再切口或冲孔。

④对于批量大、尺寸小的弯曲件,为提高生产率,可采用多工序冲裁、压弯和切断等连续工艺成型。

⑤非对称的制件,若单件弯曲时毛坯容易发生偏移,应采用成对弯曲成型,弯曲后再切断。

2.弯曲件毛坯的压紧和定位

①为防止毛坯在压弯过程中滑动和偏移,在弯曲时毛坯一般要压紧。对外形尺寸较大的制件,毛坯的压紧装置尽可能利用压力机上的气垫;其余制件,可在模具设计时采用弹性压料装置进行毛坯的压紧(图1.2-32c)。

图1.2-32 带有压料装置及定位销的弯曲模

②弯曲时毛坯在模具上应有准确的定位。常用的定位方式有两种:一是利用毛坯的外形进行定位(图1.2-32a);二是利用定位销进行定位,这要求毛坯上有相应的定位工艺孔。如果制件上的孔不能利用,则应在毛坯上设计出定位工艺孔(图1.2-32b、c)。

3.弯曲回弹值的计算及减小回弹的措施

(1)回弹值的计算

弯曲回弹前后弯曲角和弯曲半径的变化如图1.2-33所示。

图1.2-33 回弹引起的弯曲角和弯曲半径变化

回弹值包括弯曲半径回弹值△r和弯曲角回弹值△α

△r=r0-r

△α=α0-α

式中 r0、α0——回弹后的弯曲半径(mm)、弯曲角(°);

r、α——凸模半径(mm)、凸模的弯曲角(°)。

①相对弯曲半径r/t较小(r/t<10)的工件。由于较小,弯曲后工件的弯曲半径变化不大,弯曲角发生了回弹。弯曲角回弹值β(单面)和的关系见图1.2-34~图1.2-37。

图1.2-34 08号~10号钢在弯曲时的回弹角β

α=30°时,β=0.75r/t-0.39 α=60°时,β=0.58r/t-0.80

α=90°时,β=0.43r/t-0.61 α=120°时,β=0.36r/t-1.26

图1.2-35 15号~20号钢在弯曲时的回弹角β

α=30°时,β=0.69r/t-0.23 α=60°时,β=0.64r/t-0.65

α=90°时,β=0.434r/t-0.36 α=120°时,β=0.37r/t-0.58

图1.2-36 25号~30号钢在弯曲时的回弹角β

α=30°时,β=1.59r/t-1.03 α=60°时,β=0.95r/t-0.94

α=90°时,β=0.78r/t-0.79 α=120°时,β=0.46r/t-1.36

图1.2-37 35号钢在弯曲时的回弹角β

α=30°时,β=1.51r/t-1.48 α=60°时,β=0.84r/t-0.76

α=90°时,β=0.79r/t-1.62 α=120°时,β=0.51r/t-1.71

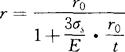
②相对弯曲半径较大()的工件。由于较大,弯曲后的工件不仅弯曲角发生了变化,而且弯曲半径也有较大的变化(如图1.2-33)。

其相互关系如下:

凸模弯曲角

弯曲角回弹值(双面)

式中 r——凸模弯曲半径(mm);

r0——回弹后工件的弯曲半径(mm);

α0——回弹后工件的弯曲角(°);

σs——工件材料的屈服强度(MPa);

E——工件材料的弹性模数(MPa);

t——工件材料厚度(mm)。

(2)减小弯曲回弹的措施

①改进弯曲件的局部结构和选用合适的材料。例如,在弯曲区压制加强筋(如图1.2-38),用以提高零件的刚度和减小回弹。另外,在满足使用的条件下,尽可能选用弹性模数E大、屈服极限σs小的材料,以减小弯曲时的回弹。

图1.2-38 压制加强筋

②从模具设计上考虑。对一般材料,可采用补偿法,在凸模和凹模上做出回弹角的斜度,使工件回弹后恰好等于所要求的角度(图1.2-39a、b、c)。

图1.2-39 克服回弹的措施

厚度在0.8mm以上的材料,可在凸模上做出“突起”部分。压弯时“突起”部分对工件弯曲角处进行校正,以此来克服回弹(图1.2-39d、e)。

回弹较大的材料,可将凸模和凹模顶块做成圆弧曲面,当压弯的工件从模具中取出后,曲面部分伸直补偿了回弹(图1.2-39f)。

③采用拉弯工艺

弯曲半径很大,回弹不易消除的弯曲件,可采用拉弯工艺,使板料在拉力下弯曲。这样坯料中性层内外纤维均处于拉应力状态,卸载后,内、外层纤维的回弹互相抵消,因此可以减小回弹。

④利用聚氨酯橡胶软凹模代替金

属刚性凹模进行弯曲(图1.2-40)。

图1.2-40 利用弹性凹模进行弯曲

⑤采用其他工艺。

(a)在允许的情况下,采用加热弯曲。

(b)对U形弯曲件,可采用较小间隙甚至负间隙(c<t)弯曲。

(c)用校正弯曲代替自由弯曲。

随便看

 

离鸟网收录3541549条中英文词条,其功能与新华字典、现代汉语词典、牛津高阶英汉词典等各类中英文词典类似,基本涵盖了全部常用中英文字词句的读音、释义及用法,是语言学习和写作的有利工具。

 

Copyright © 2004-2024 vtrois.com All Rights Reserved
更新时间:2026/4/21 13:32:48