网站首页  词典首页


请输入您要查询的字词:

 

字词 异麦芽酮糖
类别 中英文字词句释义及详细解析
释义

异麦芽酮糖


别名 帕拉金糖、异构蔗糖

编码 GB 19.003

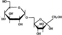
化学结构

C12H22O11·H2O 相对分子质量360.32

性状 白色结晶,无臭、味甜、甜度约为蔗糖的42%,甜味纯正,与蔗糖基本相同,无不良后味,熔点122~124℃,比旋光度〔α〕97.2°,耐酸,耐热,不易水解(20%溶液在pH2.0时100℃加热60min仍不分解,蔗糖在同样条件下可全部水解)热稳定性比蔗糖低,有还原法,易溶于水,在水中的溶解度比蔗糖低20℃时为38.4%,40℃为78.2%,60℃为133.7%,其水溶液的黏度亦比同等浓度的蔗糖略低。本品在肠道内可被酶解,由机体吸收利用。对血糖值影响不大,不致龋齿。

制法 由蔗糖经α-葡糖基转移酶转化后,浓缩、结晶、分离制得。

质量标准

鉴别方法 在涂层色谱上的色斑Rf值与标准品相对一致。薄层色谱的条件为:

标准液和样品液:0.005g/mL(80%乙醇)

展开剂:氯仿∶甲醇∶丙酮∶乙酸=2∶3∶2∶1

显色剂:二苯胺1g,苯胺1g,丙酮50mL,85%磷酸5mL。

薄层板:用硅胶G粉6g加0.1mol/L硼酸液约15mL。涂布厚度0.3mm,室温干燥后于110℃活化1h。

点样量:1~2μL。当展开溶剂行进约15cm时取出,干燥,喷显色剂,斑点呈灰色或淡绿色,计算Rf值。

毒理学依据

本品天然存在于蜂蜜、甘蔗中、安全性高。

使用 甜味剂

1.使用注意事项

(1)本品系将蔗糖的双糖键从(1→2)转变为(1→6),亦即将非还原性双糖(蔗糖)转变为还原性双糖(异构蔗糖),其还原性约为葡萄糖的52%。不易产生褐变反应。

(2)本品甜度约为蔗糖的一半,适于低甜度糖果、糕点等使用。

2.使用范围及使用量

(1)我国《食品添加剂使用卫生标准》(GB 2760-1996)规定:可在雪糕、冰棍、糖果、糕点、饮料、饼干、面包、果酱(不包括罐头)、配制酒中按生产需要适量使用。

(2)实际使用参考:应用于焙烤食品,可按1∶1代替蔗糖,一般无需改变传统配方。若感到褐变太浅时,可适当提高熔烤温度,或添加少量果糖。

随便看

 

离鸟网收录3541549条中英文词条,其功能与新华字典、现代汉语词典、牛津高阶英汉词典等各类中英文词典类似,基本涵盖了全部常用中英文字词句的读音、释义及用法,是语言学习和写作的有利工具。

 

Copyright © 2004-2024 vtrois.com All Rights Reserved
更新时间:2026/4/21 2:34:02