(一)适用范围 本法适谷物及油料作物种子中粗蛋白质测定,是农牧渔业部部颁标准法,即用开氏法测总氮量,再乘以蛋白质换算因数,而得粗蛋白质含量。
(二)试剂配制
1.0.02N硫酸标准液(此浓度适用于谷类作物种子)或0.05N硫酸标准液(此浓度适用于大豆种子)。
2.其余试剂同第二十二章第一节中硫酸—混合盐消煮法。
3.蔗糖(分析纯)。
(三)测定步骤 将选有代表性种子,按四分法取样后,置60℃烘箱中干燥,用粉碎机磨碎,通过0.5mm孔径,置磨口广口瓶中保存。
称样0.5000-0.1000g,放入50ml开氏瓶中,加入2-4g混合盐催化剂和5-8ml浓硫酸,混匀放置过液。将开氏瓶倾斜置于电炉上,开始用小火加热,待泡沫停止后加大火力,保持开氏瓶中液体连续沸腾,沸腾的酸应在开氏瓶颈中部冷凝回流,待消煮液无微小碳粒并呈透明的浅绿色时,继续消煮30min(含蛋白质高的样品,如豆类,需煮60min)。
待消煮液稍冷却后,无损地移入100ml容量瓶中,多次用水洗涤,冷却后定容。放置澄清。
用移液管吸取待测液5.00或10.00ml(含NH4-N约1mg),放入半微量定氮蒸馏装置中,加入约5ml40%氢氧化钠进行蒸馏。具体测定步骤可见第九章土壤全氮测定。
按同样条件,称0.1g蔗糖代替样品做空白试验。
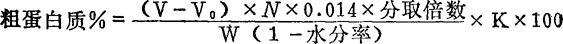
(四)结果计算

式中:V——滴定样品时所用标准酸的毫升数;
V0——空白测定所用酸的毫升数;
N——标准酸的当量浓度;
0.014——氮的毫当量(g);
取用量倍数——本操作步骤中为100/5或100/10,即为20或10;
W——称样重(g);
K——蛋白质的换算因数。一般情况下为6.25,这是由蛋白质平均含氮量为16%计算而得,即100/16=6.25。但由于各种作物蛋白质中含氮量不同,其换算因素也各不相同。各类作物蛋白质换算因数,可见表26-3。
表26-3 各类作物的蛋白质换算因素
