网站首页  词典首页


请输入您要查询的字词:

 

字词 建筑层高对造价的影响
类别 中英文字词句释义及详细解析
释义

建筑层高对造价的影响


合理确定建筑层高,不仅降低造价,还可节省用地,据计算住宅建筑降低层高10厘米,可降低造价1%左右,节省建设用地2%左右,合理降低层高,具有一定经济意义。其造价降低率公式为:

式中 P-造价降低率(%);

H-建筑层高(米);

h-降低后层高(米);

K-墙体造价占总造价的比值(%)。

〔计算例〕 如原设计层高3.00,现降低为2.80米时,降低率

即可以节约砖墙工程量的6.67%,如砖墙造价占单方造价35%时2节约造价为

0.35×0.0667×100=2.33%

按降低层高10厘米时,可节省建设用地测试,根据日照间距公式计算:

式中 H-前幢建筑檐口至地面高度(米);

H1-后幢建筑的窗台至地面高度(米);

h-冬至正午太阳高度角。

据沈阳冬至正午太阳高度角25°50′,设四层建筑,前幢建筑高(H)为11.5米即(层高×层数)+高差,后幢建筑窗台高度(H1)为1.2米即(窗台高+高差)

则 日照间距

为将D1换算成H的比值,以便不同建筑高度算出间距,

采用上述公式计算,仅为沈阳地区冬至日正午所需日照间距,这时太阳的高度角最高。如居室需几小时的日照即间距就要加大,或者当建筑方位不同时,或地区不同时,间距也将会变化。

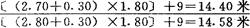
根据上述公式,试将层高2.80米与2.70米之比,节省用地测算如下:

计算依据:高差0.30米,跨度9米,占地长度计算。

例:层高: 占地长度为:

表8-40 层高2.8米与2.7米之比节省用地测算

从上表来看1-6层节省用地1.23%-2.71%,也就是层数越高,节省用地也就越大。

住宅建筑的层高是一个空间设计问题,也影响到人们的卫生要求和精神舒适感问题等,这就要进行综合性分析。合理确定住宅建筑层高必须是多方进行综合技术经济分析。

随便看

 

离鸟网收录3541549条中英文词条,其功能与新华字典、现代汉语词典、牛津高阶英汉词典等各类中英文词典类似,基本涵盖了全部常用中英文字词句的读音、释义及用法,是语言学习和写作的有利工具。

 

Copyright © 2004-2024 vtrois.com All Rights Reserved
更新时间:2026/4/20 18:18:32