网站首页  词典首页


请输入您要查询的字词:

 

字词 平面控制测量成果的检验和整理
类别 中英文字词句释义及详细解析
释义

平面控制测量成果的检验和整理


1.三角测量的检验

1)当三角形个数超过20个时,测角中误差按下式计算:

式中 W——三角形闭合差(″);

n——三角形个数。

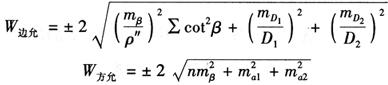
2)三角网极条件,边条件和方位角条件自由项的限差,分别按下列各式计算:

式中 mβ——相应等级规定的测角中误差(″);

β——传距角;

——起算边边长相对中误差;

ma1,ma2——起算方位角中误差(″);

n——方位角推算路线的测站数;

ρ″=206265。

2.三边测量的检验

1)用光电测距仪往返观测或不同时段观测时,距离测量的单位权中误差按下式计算:

根据μ及pi估算任一边的实际测距中误差。按下式计算:

式中 d——往返测距离的较差(m);

n——测距边数;

P——距离测量的先验权,,δDi为测距的先验中误差,可以测距仪的标称精度计算;

μ——距离测量的单位权中误差。

2)三边网中观测一个角度的观测值与由测距边计算的角值较差的检核。

①根据各边平均测距中误差检核,按下式计算限差:

②根据各边的平均测距相对中误差检核,按下式计算限差:

式中 mD——观测边的平均测距中误差(m);

h0——观测角顶点至对边垂线长度(m);

α、β——三角形中观测角以外的另两个角度;

mβ——相应等级规定的测角中误差(″);

——各边的平均测距相对中误差;

ρ″=206265。

3)三边网角条件,包括圆周角条件与组合角条件自由项的检核按下式计算限差:

式中 mD——观测边的平均测距中误差(mm);

a——圆周角条件或组合条件方程式的系数。

3.导线测量的检核

1)按左右角观测的三、四等导线测量的测角中误差按下式计算:

式中 △——测站圆周角闭合差(″);

n——测站圆周角闭合差的个数。

2)以导线方位角闭合差计算测角中误差按下式计算:

式中 fβ——附合导线或闭合导线环的方位角闭合差(″);

n——计算fβ的测站数;

N——附合导线或闭合导线环的个数。

4.GPS静态相对定位测量成果的检核

(1)同步观测量成果的检核

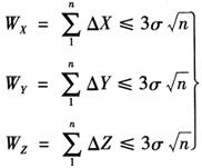
1)三边同步环的闭合差的限差按下式计算:

2)多边同步环闭合差的限差下按式计算:

式中 WX,WY,WZ——各坐标差分量的闭合差;

σ——相应等级规定的精度(按平均边长计算);

n——闭合环的边数。

(2)不同时段观测成果的检核

1)同一边任何两个时段的成果互差,应小于接收机标称精度的倍。

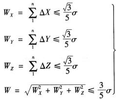
2)若干个独立观测边组成闭合环时,各坐标差分量闭合差应符合下式规定:

式中 WX,WY,WZ——各坐标差分量的闭合差;

σ——相应等级规定的精度(按平均边长计算);

n——闭合环的边数。

5.平差计算

二、三、四等和一、二、三级平面控制网都应分级进行统一平差或联合整体平差。平差后应进行精度评定。

6.计算取位

平差计算和数据处理的数字取位应符合表17-10的规定。

表17-10 平差计算和数据处理的数字取位

随便看

 

离鸟网收录3541549条中英文词条,其功能与新华字典、现代汉语词典、牛津高阶英汉词典等各类中英文词典类似,基本涵盖了全部常用中英文字词句的读音、释义及用法,是语言学习和写作的有利工具。

 

Copyright © 2004-2024 vtrois.com All Rights Reserved
更新时间:2026/4/18 13:14:00