网站首页  词典首页


请输入您要查询的字词:

 

字词 平面上直线
类别 中英文字词句释义及详细解析
释义

平面上直线


平面上的直线有下列各种形式:

斜截式 y=kx+b,k为斜率,b为纵截距.

截距式 ,a,b分别为横截距、纵截距.

点斜式 y-y0=k(x-x0),k为斜率,直线通过点(x0,y0).

两点式 ,直线过两点(x1,y1),(x2,y2),x1≠x2,y1≠y2

-般式 Ax+By+C=0,A,B,C是不同时为零的常数.

图1.4

极坐标式(见图1.5).

图1.5

法线式 xcosβ+ysinβ-p=0(见图1.6).

图1.6

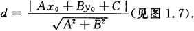
点到直线的距离

图1.7

两条直线之间的夹角 如图1.8所示,设直线

图1.8

L1:A1x+B1y+C1=0,或y=k1x+b1

L2:A2x+B2y+C2=0,或y=k2x+b2

其中θ是指由斜率为k1的直线L1以逆时针转第一次与L2重合的角.

随便看

 

离鸟网收录3541549条中英文词条,其功能与新华字典、现代汉语词典、牛津高阶英汉词典等各类中英文词典类似,基本涵盖了全部常用中英文字词句的读音、释义及用法,是语言学习和写作的有利工具。

 

Copyright © 2004-2024 vtrois.com All Rights Reserved
更新时间:2026/4/17 21:16:14