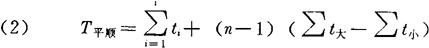
指一批产品(零件)在工序间逐件运送和成组运送相结合的移动方式。若把工序间移动时间视为零,则一批零件的加工周期(T平顺),可用以下两种公式计算:

式中 n——批量;
m——所需工序的数目;
ti——第i道工序上的单件加工时间;
t短——相邻两道工序单件加工时间短的一个。

式中 t大——比其前后两道工序单件加工时间都大的ti;
t小——比其前后两道工序单件加工时间都小的ti,第1道
工序前和最后一道工序后,视为最小工序(零)对待。
这种移动方式,基本上兼顾了顺序移动方式和平行移动方式的长处,既适当地缩短了加工周期,又消除了设备和工人的间断现象,但生产组织工作比较复杂。