网站首页  词典首页


请输入您要查询的字词:

 

字词 平行移动方式
类别 中英文字词句释义及详细解析
释义

平行移动方式


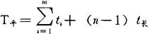
指一批产品(零件)在工序间逐件运送的移动方式。若把工序间运输时间视为零,则一批零件的加工周期(T),可用下式计算:

式中 m——所需工序数目;

ti——零件在第i道工序上的单件加工时间;

n——批量;

t——所需工序中单件加工时间最长的一个。

这种移动方式,一批零件的加工周期最短,但工序间的运送频繁,当零件在各道工序上的单件加工时间不相等或不成整数倍关系时,就会出现设备和工人的停歇等待现象。

随便看

 

离鸟网收录3541549条中英文词条,其功能与新华字典、现代汉语词典、牛津高阶英汉词典等各类中英文词典类似,基本涵盖了全部常用中英文字词句的读音、释义及用法,是语言学习和写作的有利工具。

 

Copyright © 2004-2024 vtrois.com All Rights Reserved
更新时间:2026/4/20 11:46:30