网站首页  词典首页


请输入您要查询的字词:

 

字词 平版纸的令重和吨纸令数是怎样确定的?
类别 中英文字词句释义及详细解析
释义

平版纸的令重和吨纸令数是怎样确定的?


在出版社中平版纸的令重和吨纸令数是两个基本概念。令重,是平版纸一令的重量,即500张平版纸的重量,其计算公式表示为:每令重量=定量×面积×500

例如:幅面宽787×1,092mm的60g/m2凸版纸的令重为:0.060kg/m2×0.787m×1.092m×500=25.782(kg)

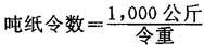
吨纸令数是一吨平版纸数,其公式表达为:

随便看

 

离鸟网收录3541549条中英文词条,其功能与新华字典、现代汉语词典、牛津高阶英汉词典等各类中英文词典类似,基本涵盖了全部常用中英文字词句的读音、释义及用法,是语言学习和写作的有利工具。

 

Copyright © 2004-2024 vtrois.com All Rights Reserved
更新时间:2026/4/18 10:05:14